- 易迪拓培训,专注于微波、射频、天线设计工程师的培养
针对手机射频电路设计的差分散射参数测试方法1
在设计手机的射频电路时,常会遇到带有差分端口的低噪声放大器、混频器、声表滤波器等。图1是TD-SCDMA手机射频接收电路,其中MAX2392的低噪声放大器输出是单端的,而MAX2392的混频器输入是差分形式的,低噪声放大器与混频器之间是一个单端到差分形式的声表滤波器和必要的匹配网络,在设计该匹配网络时,需要知道混频器输入端差分散射参数和声表的散射参数,通常网络分析仪都不是差分型的。下面以对声表(SAW)的测试为例来说明如何测试差分散射参数。

物理三端口散射参数

在设计该手机的射频电路时,我们选用的是Epcos公司的LH46B声表面波滤波器,Epcos公司提供了一块评估板,如图2所示,端口1为单端型输入端口,端口2、3组成差分型输出端口。在评估该器件时,先将其视为一般的三端口网络,用一般的矢量网络分析仪很容易测得其三端口散射参数,具体过程如下:

1. 端口3接匹配负载,用网络分析仪测端口1、2的双端散射参数,记为SA;
2. 端口2接匹配负载,用网络分析仪测端口1、3的双端散射参数,记为SB;
3. 端口1接匹配负载,用网络分析仪测端口2、3的双端散射参数,记为SC;
4. 物理三端口网络散射参数ST为等式(1)所示:

一般来说,差分端口并不是理想的,通过研究上面得到的物理三端口网络散射参数ST会发现:


理想情况下,端口1加一点频激励信号,在端口2与端口3应得到大小相等,相位差180度的信号,也就是说在端口2与端口3上得到一个差分信号,实际上在端口2与端口3上还存在着大小与相位都相等的信号,即共模信号。若将差模信号看作一个端口,共模信号看作一个端口,再加上原来的端口1,这样就组成了一个新的三端口网络,称为模式三端口网络。
模式三端口网络散射参数
现在的问题是该如何由物理三端口网络的散射参数导出模式三端口网络的散射参数。声表器件属于无源网络,且不含有各向异性介质材料,其散射参数必然是互易的,就是说物理三端口网络仅有6个独立参数。差模与共模信号只是端口2与端口3信号的线性组合,所以模式3端口网络的散射参数也必然是互易的,即只有6个独立参数(E3)。观察图3可以看到端口1在两种散射参数信号流图中未变,故:

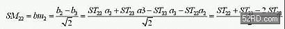
SM22是反映有端口1来激发出差模信号能力的参数,根据差模信号的定义,它应是ST12与ST13的差,考虑到差模端口等效为将端口2与端口3串接起来,故其此时特征阻抗已是原来两倍。假定端口2信号的相位为差模信号相位,这样可以得到

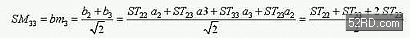
SM33是反映有端口1来激发出共模信号能力的参数,根据共模信号的定义,它应是ST12与ST13和的一半,考虑到共模端口等效为将端口2与端口3并接起来,故其此时特征阻抗已是原来一半,这样可以得到:

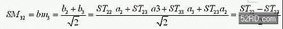
SM22,SM32分别是反映端口2与端口3在等幅反相信号激励时,在反射波中产生差模分量与共模分量能力的一个量,将物理三端口网络的端口1接匹配负载,端口2加激励信号:
端口3加激励信号:
这两个激励信号合起来等效为在差模端口加激励信号:

现在分别计算端口2与端口3反射波中差模与共模信号成分,它们在数值上应分别等于SM22,SM32,值分别是等式(4)、(5)所示。


SM33是反映端口2与端口3在等幅同相信号激励时,在反射波中产生共模分量能力的一个量,将物理三端口网络的端口1接匹配负载,端口2与端口3同时加激励信号:
这两个激励信号合起来等效为在共模端口加激励信号:

现在来计算端口2与端口3反射波中共模信号成分,它在数值上应等于SM33。
其值见等式(6):

综合等式(2)至等式(6),可以得到完整的模式三端口网络散射参数,整理后得到等式(7):

需要特别注意的是此处得到的该散射参数各端口并不是利用统一的特征阻抗作归一化,假定端口1的特征阻抗为Zo,则端口2(差模信号端口)为2 Zo,端口3(共模信号端口)为Zo/2。
共模抑制比
MAX2392是一个零中频的射频接收机,为解决本振信号的泄漏问题,MAXIM 公司采用了差分形式的混频器,从图1看到当共模形式的本振信号有混频器输入端泄漏出来时,声表会对此产生抑制(此处回避了匹配网络的影响),这儿可以定义共模抑制比如下:

该共模抑制比反映了泄漏到天线端口的本振信号大小,该共模抑制比越大越好。研究图3所示的散射参数信号流图,我们发现还有另外一种共模到差模的转换形式:
该共模抑制比优劣与直流偏移量有关。本振信号通过空间辐射等途径耦合到LH46B 差分端口应是共模信号,该共模信号经LH46B反射后产生的差模信号会直接加到混频器输入端,从而与本振自混频产生直流。该共模抑制比越大越好。
上一篇:无线充电系统设计原理与实作
下一篇:GPS智能天线模块的选择和性能考量

