- 易迪拓培训,专注于微波、射频、天线设计工程师的培养
数字相机闪光灯充电电路分析
充电电路简介
目前多数使用氙气型式的闪光灯(Xenon Photoflash)。其触发方式是利用一个高压电容器储存足够的能量,然后将其能量释放至灯管,此能量会在灯管内激发氙气而产生光源。要触发闪光灯所需的能量是由一个高压电容(一般约200V~300V)储存所提供的。在手持式产品中(如:数字相机、手机),如何将电池能量有效且快速的储存至高压电容,这就取决于充电电路如何设计。最早期的充电电路是由许多元件组合而成的,如(图一),由于此种传统的充电电路因效率差、所需元件数太多而且太占空间而逐渐被淘汰。现今由于半导体的蓬勃发展,而将充电电路所需元件及控制器整合成晶片(IC),此种整合型晶片的充电电路架构如(图二)。此种架构的控制方式有定频、固定导通时间(constant on time)和限制电流峰值(peak current limit)控制方式。在此应用上,定频控制方式效率差,固定导通时间控制方式易受限于变压器一次侧电感值,而限制电流峰值控制方式具有高效率、安全的特点。此篇文章是针对限制电流峰值的控制模式加以深入探讨分析。

(图一) 传统闪光灯充电电路

(图二) 整合型晶片的闪光灯充电电路
充电电路分析—以MAX8622为例
MAX8622支援两颗硷性电池或一颗锂电池的应用,并整合了MOSFET至IC内部,利用限制电流峰值(peak current limit)控制方式。具有高度整合且高效率的闪光灯充电驱动IC,其电路如(图三)。
此种充电电路架构相当于反驰式(Flyback)转换器,针对闪光灯充电应用,而採用限制电流峰值的控制方式。而MAX8622採用每个周期(cycle-by-cycle)限制电流峰值方式,此方式可抑制输入突波电流(inrush current)并快速且有效率的充饱输出电容。
其动作原理是利用变压器一次侧的电感储能,再将能量转换至二次侧的输出电容。当导通MOSFET时,输入电压会对电感充电而电感电流会上升,当电感电流上升至峰值点(利用Pin 1, ISET设定)后截止MOSFET,此时一次侧电感上的能量会转换至输出电容,当二次测电流降至几乎为零时再导通MOSFET,如此循环直至输出电容电压达到所设定的电压值时,此控制器才会停止动作。(图四)与(图五)为在不同周期时的一次侧与二次侧电流波形。在此种应用上,充电时间(charge time)是一个非常重要的规格,此文章就使用了两种方法做理论推导与分析。

(图三) MAX8622充电电路

(图四) 一次侧与二次测电流波形(充电的前几个週期)

(图五) 一次侧与二次测电流波形(充电中的几个週期)
■输出电压与充电时间
方法一:
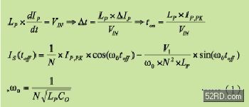
定义变压器匝数比为N,变压器一次侧电感为,二次侧电感为当MOSFET导通时,定义为每个周期MOSFET的导通时间由(公式一)可得知在为定值,则每个周期的也为一定值当MOSFET截止时,此电路就为LC串联电路。

(公式一)

(公式二)
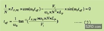
的初始值为且定义为每个周期的初始值,为输出电容当=0时,MOSFET就会导通而切换至下一个週期,故可以推导出每个週期的截止时间(off-time)。
由(公式二)也可看出每个周期的是不固定的,会随着输出电容电压增加而越来越小。假设输出电容初始值为0(即=0)则第一个週期的off –time为(即, 的週期)某个周期输出电容电压为(公式三)。整个充电时间为(公式四)。

(公式三)

(公式四)
方法二:
由上述分析可得知在每个周期是固定的,而是可变的。方法二是将方法一做了一些假设而简化,将二次侧谐振电流线性化,假设很小,所以,并且假设每个切换周期输出电压的变化很小,故公式二可简化得(公式五)
在时间内是对输出电容充电,所以可以将等效为输出电压对时间的微分。故可得(公式六)。

(公式五)

(公式六)
■输入电流
由动作原理可得知在MOSFET导通时,输入电压会对变压器一次侧电感充电,在每次导通期间储存在一次侧电感的电荷为(公式七)。
所以输入电流可得知为(公式八)

(公式七)

(公式八)
■LX电压
当MOSFET导通时,LX电压为零;当MOSFET截止时,LX电压为输入电压加上输出电压除以变压器匝数比,其公式如下:

(公式九)

(公式十)
充电电路模拟
依据所推导出的公式,可以利用数学模拟软件针对此充电电路模拟与分析,例如:不同的变压器匝数比、一次侧电感值、一次侧电流峰值对充电时间的影响等。
■充电时间
假设变压器一次侧电感为5μH、匝数比为1:15,限制电流峰值为1.2A,输出电容为150μF,输出电压为300V,利用方法(一)与方法(二)模拟结果如(表一):
输入电压 ( V )
方法一
(严谨的方式)
充电时间( s )
方法二
(简化的方式)
充电时间( s )
误差( % )
2.8V
5.14262
5.14286
0.0047
3.3V
4.53385
4.53409
0.0053
3.6V
4.24976
4.25000
0.0056
4.0V
3.93726
3.93750
0.0061
4.2V
3.80333
3.80357
0.0063
表一 利用两种方法模拟充电时间结果
■输入电压与充电时间之关系
假设变压器一次侧电感为5μH、匝数比为1:15,限制电流峰值为1.6A,输出电压由30V到300V,不考虑损失情况下。利用公式六可模拟出输入电压与充电时间之曲线图,如(图六)。

(图六) 输入电压与充电时间曲线图之模拟结果(无考虑损失)
上述推导都是以理想状况,没有考虑损失,若将损失考虑进去,所得之模拟结果与实际量测结果比较,如(图七)所示。

(图七) 输入电压与充电时间曲线图模拟结果与实测结果之比较(考虑损失)
■实际充电波形
可利用公式七、公式八、公式九、公式十模拟输出电压充电曲线、输入电流波形以及LX电压波形。针对变压器一次侧电感为5μH、匝数比为1:15,限制电流峰值为1.2A,输入电压为3.5V,输出电压由0V到300V的条件下可得模拟波形与实际量测之波形,如(图八)。

(图八) 输出电压、输入电流以及LX电压模拟结果与实测结果之比较
结论
本文章针对MAX8622限制电流峰值控制方式的闪光灯充电线路做一完整分析与模拟,推导出的公式可以帮助我们更了解每个参数变化的影响,并可利用所推导之公式模拟出许多结果,再与实际量测之结果比较,可以发现相差接近。由模拟与实测结果也可得知MAX8622此种控制架构可以有效抑制输入突波电流(inrush current)并快速且有效率的充饱输出电容。由此分析亦可得知此种架构决定充电时间较重要的参数为一次侧?值电流与变压器的匝数比。希望藉由此篇文章之推导方法可以让更多读者深入了解闪光灯充电线路,并可协助如何设计充电电路线路。
上一篇:利用微处理器与软体 完成数位电视H.264编解码设计
下一篇:电源转换器的电磁相容性
国内最全面、系统、专业的手机天线设计培训课程,没有之一;是您学习手机天线设计的最佳选择...【More..】
我们是来自于研发一线的资深工程师,专注并致力于射频、微波和天线设计工程师的培养。
