- 易迪拓培训,专注于微波、射频、天线设计工程师的培养
宽频ADC前端设计使用双变压器配置之考量
背景
变压器是用来隔离并且将信号从单端式转换成差动式。有一个因素经常被轻忽,就是在高速模拟数字转换器(A/D)前端电路中使用变压器的做法从来不曾理想过。用正弦波输入信号从变压器导入的任何不平衡,会将不完美的正弦波传给ADC的输入,并导致整体资料转换效能比ADC用别的方法提供的还要差。本文将解说输入不平衡对ADC效能所造成之影响,并提出电路范例以达到改善之效。
关于变压器
变压器的选择常常变成令人困扰的过程,挑战在于每个供应商采取的做法不同,效能也各异,经常在选择方式和规定的参数定义上有所差异。
当选择一个变压器用来驱动一颗特殊的ADC时,有些重要的参数要列入考量:例如插入损失、回流损失、强度不平衡、以及相位不平衡等。插入损失是一种变压器频宽功能的指标,回流损失也很有用,能让使用者在特定的频率或频带设计出与变压器响应匹配的终端电阻,当使用变压器比单位闸数比更大时特别重要。在此将关注强度不平衡与相位不平衡,以及它们在高频宽应用中如何影响ADC的效能。
理论分析
即使具有宽频宽等级,在变压器的单端一次侧和差动二次侧之间的耦合,虽然线性却会造成强度与相位不平衡。当应用到转换器(或其他差动输入装置),这些不平衡会使被转换(或被处理)的信号在偶数谐波失真更加严重,而且,通常在低频的疏忽会使得高速转换器的失真增加变得很明显,大约达到100MHz。下面先检视一个差动输入信号的强度与相位如何不平衡,特别是第二谐波失真,如何影响一颗ADC的效能。

图1. ADC前端使用一个变压器的简化方块图。
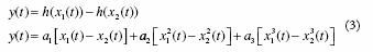
考虑一下对变压器的输入,χ(t)。它被转换成一对信号,χ1(t)和χ2(t)。假设χ(t)为正弦波,则差动输出信号,χ1(t)和χ2(t)为以下公式:

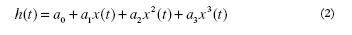
ADC被当作是对称的三级转换函数:

然后

理想案例:零不平衡
当χ1(t)和χ2(t)完美地平衡,它们有相同强度(k1=k2=k)并且真正180˚异相位(ψ=0˚)。因为:

运用三角学对乘幂的特性和集合像频率的名词,

这是一种差动电路的类似结果;偶数谐波因理想信号而抵消,但奇数谐波则否。
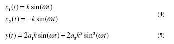
强度不平衡
现在假设二个输入信号有一强度不平衡,但是无相位不平衡。本例中,k1≠k2,且φ=0。

在公式3中代入公式7,并再次应用三角学的乘幂特性,

从公式8看出本例中的第二谐波是和强度项k1和k2平方的差异成比例,即

相位不平衡
假设现在二个输入信号在它们之间有相位不平衡,但无强度不平衡。然后,k1=k2,且φ≠0。

在公式3中代入公式10,并简化,

从公式11,我们看到第二谐波振幅与方波强度项k的平方成比例。
第二谐波∞ k12 (12)
观察
公式9和公式12做一比较显示,第二谐波振幅受到相位不平衡的影响比起受到强度不平衡的影响还要严重。对相位不平衡而言,第二谐波与k1的平方成比例,而对强度不平衡而言,第二谐波与k1和k2平方的差异成比例。因为k1和k2几乎相当,这个差异是很小的。
如同测试这些计算的有效性,MATLAB码就是专为前述的模型所写的,用以量化并图示强度与相位不平衡对具有变压器输入(见附录)的高效能ADC谐波失真的冲击。该模型包括附加的白色高斯噪音。
系数ai,是用于AD9445─这颗高效能16位元,125-MSPS ADC MATLAB模型中。AD9445如图2所示在前端配置,被用来产生FFT(傅利叶转换),如图3所示,系数从此处导出。

图 2.AD9445和变压器的前端配置图

图3.AD9445典型的FFT,125MSPS,IF-170MHz。
噪音层、第二谐波和第三谐波在这里反应出转换器和前端电路的综合效能。转换器的失真系数(a2和a3)和噪音是用这些量测出的结果所计算出的,在170MHz时,结合0.607dB强度不平衡和14゜的相位不平衡,指定一颗标准的1:1阻抗率变压器搭配使用。
这些系数被用在公式8和公式11算出y(t),而强度和相位不平衡,分别为0V到1V 与0゜和50゜(典型变压器的不平衡范围介于1MHz至1000MHz范围内),并可观察出对第二谐波的影响。模拟的结果显示如图4和图5。

图4. 测定的谐波vs.只有强度不平衡比较图

图5。测定的谐波vs.只有相位不平衡比较图
图4和图5显示(a)第三谐波对强度与相位不平衡都相当不敏感,且(b)第二谐波搭配相位不平衡比起强度不平衡恶化的速度更快。因此,为从ADC达到更好的效能,变压器配置与改善的相位不平衡是必需的。有二种可行的配置方法,第一种是包含一个双平衡转换器(balun),第二种方式是一个双变压器,如图6和图7所示。

图6(上).双平衡转换器配置图
图7(下).双变压器配置图
来自这些配置方法的不平衡藉使用一台向量网路分析仪在特制的特性板上加以比较。图 8和图 9比较出这些配置与单变压器的强度和相位不平衡。

图8.从1MHz到1000MHz的强度不平衡。

图9.从1MHz 到1000MHz的相位不平衡。
以上几个图清楚显示双配置式在些微降低强度不平衡的成本下,有较佳的相位不平衡。因此,使用以上分析的结果,显示双变压器配置可用来达到较佳的效能。使用单颗变压器输入(图10)和使用双平衡转换器输入(图11) 的AD9445 FFT测定图显示该事实;可以看到在300MHz中频信号时,SFDR改善了+10dB。

图10.单变压器输入,AD9445的FFT,125MSPS,IF=300MHz。

图11.双平衡转换器输入,AD9445的FFT。125MSPS,IF=300MHz。
这代表为达到良好的效能,设计者必须运用双变压器或双平衡转换器到ADC前端上吗?不尽然如此。分析显示,使用一个相位不平衡非常小的变压器是很必要的,它的。接下来的例子(图12和图13),以170MHz中频信号,用二个不同的单变压器驱动AD9238。这些例子显示当ADC受到变压器的驱动在高频已经改善了相位不平衡,因此在第二谐波改善了29dB。

图12. 单变压器输入,AD9238的FFT。62MSPS,IF=170MHz@-0.5dBFS,第二谐波=-51.02dBc。

图 13.单变压器输入,AD9238的FFT。62MSPS,IF=170MHz@-0.5dBFS,第二谐波=-80.56dBc。
结论
当变压器以高中频输入(大于100MHz)被用来当做前端来处理(如模拟数字转换,数字模拟转换和放大)时,变压器的相位不平衡会使第二谐波失真更加严重。不过,透过运用一对变压器或平衡转换器,就可以明显得到改善,只花到外加一颗变压器和额外的PC板空间的成本。
假如设计频宽小且选择的变压器很适合,单变压器设计就可以达到适当的效能。不过,他们真的需要限制频宽匹配,而且它们可能会很贵或是体积很大。
通常针对任何已知的应用选择最佳的变压器,需要对变压器的规格有详细的知识。相位不平衡对高中频输入(>100MHz)尤其重要。即使在技术手册中未被具体说明,大部份变压器制造商将会根据要求提供相位不平衡的资讯。假如提供的资讯并不充份的话,网路分析仪可用来量测变压器的不平衡当作检查。
上一篇:数字信号控制器的加强型事件管理器
下一篇:8位元嵌入式连网MCU技术及应用

