- 易迪拓培训,专注于微波、射频、天线设计工程师的培养
关于BTS 系统中开环和闭环 MIMO 的应用
多输入多输出(MIMO)是未来有望实现无线数据系统所需高速数据速率的技术之一。多数据流可通过 MIMO进行传输,从而增加了系统的吞吐量。目前,大多数3G和4G无线标准如WiMAX、TD-SCDMA和LTE等都采用了MIMO。
传统方法中,接收机(Rx)和发射机(Tx)不会进行往复通信。Rx需单独计算出信道信息,解码数据流。这给Rx造成了沉重而复杂的负担,也使系统无法完全利用信道的分集或容量。这些系统被称为开环系统。
最新的无线标准是在手机和基站(BTS)之间分配一个有限的反馈信道。这一信道有多种用途,特别是将信道的重要信息发送回BTS。该信息可实现简单的空间分集和复用技术,后者增加了系统的有效信噪比(SNR),并潜在性地简化了Rx架构。这些系统称作闭环系统。
学术文献对理论限制进行了大量研究,却很少涉及电路实现复杂性方面的内容。本文将讲述MIMO开环和闭环技术如何在复杂度和性能之间进行权衡,并提供实际系统的经验法则。
开环MIMO
对于单发射天线或SIMO系统,Rx利用MRC技术整合来自多个接收天线的数据流,以实现分集增益。而多个发射天线的信道更复杂,两个不同的传输流间会出现干扰。如果Tx没有信道信息,Rx单独使用MIMO容量,这通常需要非常复杂的算法。
空间复用
空间复用是一种非常著名的开环MIMO技术,广泛应用于无线系统。每个发射天线送出不同的数据流。

图1:2x2 空间复用系统。
图1是一个2x2的空间复用系统,可以建模为:
(1)
其中x代表发射信号向量,H代表信道矩阵,n代表增加的噪声向量,y代表接收信号向量。为了根据接收信号y评估发射信号x,直接的方法就是用迫零(zero forcing)或MMSE等逆信道矩阵乘以y。然而,这并非最佳检测方法。
最理想的检测方法可利用最大似然法(ML)准则。在大多数情况下,发射信号向量最大限度缩短了与接收信号向量y相关的欧几里得距离,因此,可以通过寻找发射信号向量来执行最大似然法。
(2)
可惜,计算的复杂性也随着发射天线和可能的星座点的数量呈指数增加,这使最大似然法无法适于实际用途。
球形解码(sphere decoding)虽然不是最理想的ML解决方案,却是一种广泛使用的方法。球形解码算法的原理,是在球半径内搜索离接收信号最近的格点。在球半径内,格点场的每个格点都代表一个码字。球形解码显著降低了检测的复杂性,其性能可与ML检测方法相匹敌。
然而,尽管球形解码算法已经降低了复杂性,却不适于实施大量天线和64QAM等高调制率。
空时码
另一个广泛采用的开环MIMO是空时码。利用空时码,一个数据流可以用多个发射天线传输,但是信号编码利用多个天线中的独立衰落,以实现空间分集。

图2:典型的Alamouti码。
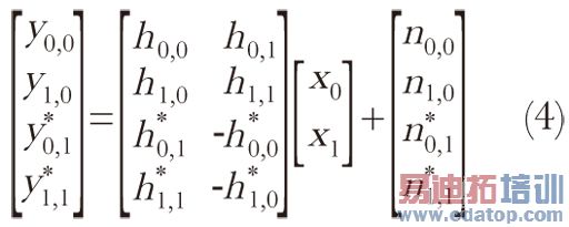
目前,最受欢迎的空时码是Alamouti码,已被许多无线标准采用。图2为典型Alamouti码,其数学方程式表述如下:
(3)
通过重新整理方程,可以得到:
(4)
方程(4)显示,信号x0和x1在两个直角路径中传输。因此,只需简单的线性处理,就可以单独检测和 。
与空间复用相比,Alamouti码可提供更高的分集增益,且不需要复杂的接收机检测。然而,Alamouti码只传输一个数据流而非多个数据流。空间复用着眼于空间复用增益,但是空时码则瞄准分集增益。要比较这两个方案,我要应该考虑信道条件。一种方案只有在特定信道条件下才会优于另一种技术。许多无线标准采用了这两个方案。如何在两个方案间进行转换以实现最佳性能呢?R.W.Heath Jr. 和A.J. Paulraj 在《MIMO系统中分集和复用的转换》[1]一文中提出了如何选择分集增益或复用增益的标准,即选择能缩短接收机欧氏距离的方案。然而,这种方法需要繁复的搜索,因此不适合实施。为了解决这个问题,本文建议使用Demmel 条件数进行选择。事实上,这是非常直观的。对于大Demmel条件数,信道更有可能是奇异的,因此应选择空时码。
闭环MIMO
在现代无线通信领域,闭环MIMO变得越来越重要。BTS发射机利用信道信息实现简单空间分集或波束成形技术,以提高系统的有效SNR,并可能简化Rx架构。
我们用两个Tx天线和两个Rx天线举例说明闭环MIMO。如果 Tx具有H信道的完整信息,最理想的传输方案为:
(5)
其中x是2x1发射信号向量;s是2x1信息向量;W是注水矩阵。
(6)
若
,V就是H的SVD中右边的酉矩阵。
通过酉矩阵V,H信道被分成两个直角路径。利用注水矩阵,用更高的SNR为数据流分配更多功率,我们能够获得最大的容量。应该注意的是,如果我们设置
,
这表示我们将全部功率用于具有更高SNR的路径,只传输单信号流,这便成为最好的SNR解决方案。
这里主要的问题是如何获得发射机的信道信息。最新的无线标准分配一个反馈信道,将信道信息传输到BTS发射机。这一反馈解决方案可用于FDD和TDD系统。由于冗余信道信息给系统上行链路造成了沉重的开销,信道信息通常被量化以减小反馈信息的大小。我们称这一量化信息反馈为有限反馈。在WiMAX和LTE中,系统提供了一个码本,包括与可能信道相应的预编码矩阵。根据手机中预估的信道,选择相应的预解码矩阵指数并传回BTS。信道信息的量化不可避免地带来了量化误差。P. Xia和G.B. Giannakis在《设计与分析基于有限速率反馈的发射波束成形技术》[2] 中对量化引起的性能损失进行了分析。
在反馈解决方案中另一个值得考虑的是延迟。在慢衰落信道中,信道条件在多帧中保持不变。然而,在快速移动的环境中,信道变为快衰落,对反馈延迟有很高的要求。如果延迟超过了信道相干时间,将给闭环MIMO造成极大的性能损失。
另一个获得信道信息的方法是上行链路探测。手机在上行链路发射一个探测信号,然后 BTS 利用信道的互易特性获得下行链路信道信息。上行链路探测的优势在于其不需要反馈信道,而且比反馈解决方案延迟更低。然而,这种方法也有缺点。上行链路探测适用于 TDD 系统。在 FDD 系统中,下行链路和上行链路使用不同的频带。其信道特性可能不同。尽管有些方法可以弥补这一差别,仍无法避免性能的损失。在一些系统中,特殊信道只分配给上行链路探测使用,从而增加了上行链路的开销。
总结
本文讨论了不同的开环和闭环MIMO技术。在开环MIMO技术中,空间复用寻求最大的复用增益,可以在多个发射天线中传输多数据流,但Rx里需要有复杂的检测方法。相比空间复用,Alamouti码提供了一种非常简单的理想检测方法,可以最大程度实现分集增益,但只能在多个发射天线中传输一个数据流。选择空间复用还是Alamouti码取决于信道条件。
与开环MIMO技术相比,闭环MIMO技术利用信道信息来改善SNR或容量,并简化接收机设计。既然获得信道信息有延迟,使用者在高移动环境中应用闭环MIMO需格外谨慎。另外,闭环MIMO在有限反馈和上行链路探测中,因信道信息的不完全会导致性能损失。
每种MIMO技术都有其优势和劣势。在设计无线系统时,我们应该考虑服务类型、信道条件、复杂性和延迟,以选择合适的MIMO技术。
参考文献
[1] R.W.Heath Jr.和A.J. Paulraj, 《MIMO 系统中分集增益和复用的转换》,IEEE 通信学报,2005 年 1 月,53 卷第6 期,962-968。
[2] P. Xia 和 G.B. Giannakis,《设计与分析基于有限速率反馈的发射波束成形技术》, IEEE 信号处理学报,2006 年 5 月,54 卷,1853– 1863。
关于作者
Lekun Lin 是 IDT 无线系统总架构师,主要负责模拟下一代 BTS 并对 WCDMA 和 OFDM BTS 新的芯片组机会提出要求。他持有美国盐湖城犹他大学电机工程专业博士学位。

