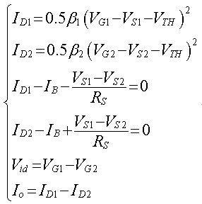
这个OTA的跨导Gm要怎么计算啊?
用在Gm-C滤波器里的,我想求输出电流的表达式Io=f(Vid),然后求跨导Gm,再看三次谐波失真项,列KCL方程组发现超级难解,求大神要怎么求解Gm表达式啊?我看一些资料只是给出了结果而已,没有过程。我的方程组应该没有问题吧


等效到单边,经典源级负反馈电阻的推导…
谢谢,这个OTA是用在Gm-C滤波器里的,你说的小信号等效我觉得在这里好像不太适用吧,那我怎么知道谐波失真项
lz你的谐波失真项咋看?
Io=1/2(Id1-Id2), Iss=Id1+Id2, Vgs1-Vgs2=Vin-IoRs,可得4Id1Id2=(Iss-beta/2*(Vin-IoRs)^2)^2, 再经过数学换算可得Io的表达式
Io=1/2(Id1-Id2), Iss=Id1+Id2, Vgs1-Vgs2=Vin-IoRs,可得4Id1Id2=(Iss-beta/2*(Vin-IoRs)^2)^2, 再经数学换算可得Io
Iss是什么电流
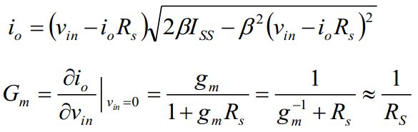
求出表达式然后级数展开
Iss是差分对管的偏执总电流,Iss=Id1+Id2=2*IB
1. 用偏微分解方程应该有的解(仅限于你只try过了初中生代数法,你是数学大神就只能另谋它径)
2. 看看SANSEN,应该有一些更流程化的方法,套套公式即可
3. 看tran还是要以EDA为主,paper糊弄糊弄得了,关键是做出来东西.(我之所以这么说是因为小编你用的model已经决定了你谐波失真的精度很差,思考一下MOSFET真的只是square-law device么)
嗯,有道理,多谢多谢
申明:网友回复良莠不齐,仅供参考。如需专业解答,请学习本站推出的微波射频专业培训课程。
上一篇:sar adc counter _based 中reset信号如何产生?
下一篇:请问这是因为滤波器没有完全滤除高频信号引起的吗?

