- 易迪拓培训,专注于微波、射频、天线设计工程师的培养
吸波材料知识介绍之二 吸波材料的损耗型吸波机制
录入:edatop.com 点击:
上一篇文章,我们只是粗略地介绍了一下吸波材料的类型和与吸波原理相关的知识。那么您可能会问:吸波材料为什么会吸收电磁波?在接下来的文章中,我们会向您较详细地介绍吸波材料的两大类吸波机制。今天我们向您介绍损耗型吸波机制。
材料损耗是指电磁波进入吸波材料内部,其能量被材料有效吸收,转化为热能或其他形式能量而耗散掉。设计这种类型的吸波材料一般需要考虑两个方面:阻抗匹配设计和衰减设计。阻抗匹配设计是指创造特殊的边界条件使入射电磁波在材料介质表面的反射系数R 最小(理想情况R = 0),从而使电磁波最大程度地进入材料内部。
根据电磁场理论[1] ,当电磁波由阻抗为Z0 的自由空间垂直入射到阻抗为Z 的半无限介质表面时,其反射系数R 满足:
----------- (1)
式中:
为介质波阻抗:
, 为自由空间波阻抗。在使尽可能多的电磁波入射进入吸波材料内部,我们就是要尽可能降低反射系数R。
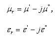
当介质有损耗时,相对磁导率 和相对介电常数 表示为复数:
,
其中,实部 和 表征了材料的储能容量,如磁化能和电容;而虚部 和 为极化损耗。由公式(1) 很容易推得,理想情况下的阻抗匹配公式:
--------(2)
然而,由于u和e都是与频率 有关的函数,同一介质某个频率 的 和 难以都满足公式(2) ,因此该公式是相当苛刻的。为此, 秦柏、秦汝虎等人提出一种更容易让人接受的阻抗匹配公式:
即“广义匹配定律”[2 ]:
,并且指出该公式可以作为有效地选择材料和材料厚度的判据, 利用该公式容易获得展宽、减轻、减薄的吸收剂。
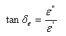
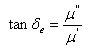
衰减设计是指选用合理的损耗介质(吸收剂)以及合理的材料结构特征,以便使进入材料内部的电磁波迅速地最大限度地衰减掉。损耗介质对电磁波的衰减能力常用电损耗角正切
和磁损耗角正切
来表示,其值越大,衰减能力越强。从这一点来看, 似乎意味着介质的 和 越大,吸波能力越强。然而,损耗介质的选用和材料的结构设计往往是紧密联系在一起的。实际工作中,常常根据不同的结构设计方案来选用具有合适电磁参数的损耗介质。因此,一心追求大的 或 的做法是不对的。
简而言之,损耗型吸波机制就是尽可能增大入射电磁波量,尽可能加强热转换率,从而达到尽可能大的电磁波吸收功效。
在接下来的一篇文章中,我们将向您介绍吸波材料的另一类吸波机制:结构型吸波机制。绝大部分吸波材料的吸波机制也无外乎是这两类中的一种。
材料损耗是指电磁波进入吸波材料内部,其能量被材料有效吸收,转化为热能或其他形式能量而耗散掉。设计这种类型的吸波材料一般需要考虑两个方面:阻抗匹配设计和衰减设计。阻抗匹配设计是指创造特殊的边界条件使入射电磁波在材料介质表面的反射系数R 最小(理想情况R = 0),从而使电磁波最大程度地进入材料内部。
根据电磁场理论[1] ,当电磁波由阻抗为Z0 的自由空间垂直入射到阻抗为Z 的半无限介质表面时,其反射系数R 满足:
----------- (1)式中:
为介质波阻抗:
, 为自由空间波阻抗。在使尽可能多的电磁波入射进入吸波材料内部,我们就是要尽可能降低反射系数R。当介质有损耗时,相对磁导率 和相对介电常数 表示为复数:
,其中,实部 和 表征了材料的储能容量,如磁化能和电容;而虚部 和 为极化损耗。由公式(1) 很容易推得,理想情况下的阻抗匹配公式:
--------(2)然而,由于u和e都是与频率 有关的函数,同一介质某个频率 的 和 难以都满足公式(2) ,因此该公式是相当苛刻的。为此, 秦柏、秦汝虎等人提出一种更容易让人接受的阻抗匹配公式:

即“广义匹配定律”[2 ]:
,并且指出该公式可以作为有效地选择材料和材料厚度的判据, 利用该公式容易获得展宽、减轻、减薄的吸收剂。衰减设计是指选用合理的损耗介质(吸收剂)以及合理的材料结构特征,以便使进入材料内部的电磁波迅速地最大限度地衰减掉。损耗介质对电磁波的衰减能力常用电损耗角正切
和磁损耗角正切
来表示,其值越大,衰减能力越强。从这一点来看, 似乎意味着介质的 和 越大,吸波能力越强。然而,损耗介质的选用和材料的结构设计往往是紧密联系在一起的。实际工作中,常常根据不同的结构设计方案来选用具有合适电磁参数的损耗介质。因此,一心追求大的 或 的做法是不对的。简而言之,损耗型吸波机制就是尽可能增大入射电磁波量,尽可能加强热转换率,从而达到尽可能大的电磁波吸收功效。
在接下来的一篇文章中,我们将向您介绍吸波材料的另一类吸波机制:结构型吸波机制。绝大部分吸波材料的吸波机制也无外乎是这两类中的一种。
EMC电磁兼容设计培训套装,视频教程,让您系统学习EMC知识...
射频工程师养成培训教程套装,助您快速成为一名优秀射频工程师...
上一篇:吸波材料详解
下一篇:有界波模拟器远场辐射特性仿真研究

