- 易迪拓培训,专注于微波、射频、天线设计工程师的培养
电视机(TV)的谐波电流和抑制技术
摘要:本文阐述电视机、显示器和微机等产品的谐波电流产生原因,介绍抑制谐波电流的方法及设计时应考虑的问题。
关键词:谐波电流、抑制技术
一、 前言
国家标准GB17625.1《低压电器及电子设备发出的谐波电流限值(设备每相输入电流≦16A)》对谐波电流限值作了规定。电视机如要通过CCC认证或CE认证也必须符合该标准的要求。本文通过分析电源电路中产生电流谐波的原因,给出了实用的解决方案。 二、 谐波电流产生的原因: 对于阻性负载、感性负载或容性负载以及它们的线性组合而成的网络其电流可用式(1)表示。
这类负载的电流波形仍为正弦波,其谐波电流应为零。现在我们正广泛使用的一些具有整流电路的电子产品如彩色电视机、显示器、微机等产品的电流波形却与之不同。这类用电器具的电压和电流之间的关系更为复杂,图(一)所示是这类电路典型的电压电流波形图。

其电流仅在线电压达到峰值前后的一段时间内不为零,在其它时间则电流为零。这种电流波形往往符合标准GB17625.1中的D类波形,由于其是周期与电源周期相同的电流脉冲,因而具有丰富的谐波分量。电源电路会引起这种电流波形的必要因素有二个:一是要有整流电路,二是整流后有大的滤波电容。整流电路中的二极管起着开关作用,当电源电压大于滤波电容两端的电压时,二极管导通,供电电源对电容充电并提供负载电流,其余时间二极管截止,负载依靠电容的贮能供电,表现在供电电源一侧的电流为零。如图(二)所示为一个简单的能产生D类波形的电路。峰值电流的大小与滤波电容和负载的大小有关。实际上,图(二)所示的整流方法使得用电器具仅在电源瞬时电压处于峰值附近,电源瞬时电压超过电容两端电压时才从电网汲取电流,这就形成了在电源电压峰值附近,与电压周期相同的高峰值充电电流脉冲。这种电源电路在电网中引起了较高的电流谐波,并使得功率因数降低。功率因素通常在0.5左右,这样视在功率比实际功率大得多。

三、非正弦波形的功率消耗
对于电压和电流波形为正弦波,假如功率因素为cos(φ),则瞬时功率p(t)和平均功率p由下式计算得出:

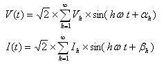
对于非正弦电压、电流波形利用傅立叶变换可将瞬时电压和电流波形表达成各种谐波分量的和:

式中V(t)和I(t)为电压电流的瞬时值,
为电压和电流的有效值,为电压和电流的相位。所以实际功率可以表达为基波的实际功率和谐波的实际功率之和。这里和
,。所以非正弦波信号的功率由基波信号的功率和各次谐波信号的功率和组成,由上述公式可以看出只有谐波的电压、电流均存在的情况下,谐波的功率才不为零。在谐波测试系统中,由于测试功率源为纯净的电压源,在这种条件下用电能表测得的实际消耗功率仅是基波的功率。
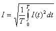
湝波电流的大小可用均方根值来表示:
,基波的功率除以均方根电流与电压的乘积可得到非正弦电流情况下的功率因素PF。所以由谐波电流引起的功率因数降低并不是由电压、电流相位差引起的而是由于电流波形的畸变引起的。
EMC电磁兼容设计培训套装,视频教程,让您系统学习EMC知识...
射频工程师养成培训教程套装,助您快速成为一名优秀射频工程师...
上一篇:电磁屏蔽技术及材料应用研究新动向
下一篇:叉车类产品的电磁兼容

