- 易迪拓培训,专注于微波、射频、天线设计工程师的培养
光纤传感器相位漂移及倍频问题的解决方法
一、引言
光纤传感由于具有本质安全、电绝缘性好、灵敏度高及便于连网等优点,已在许多物理量的测量中得到应用,特别是基于光纤干涉的传感系统已成为物理量检测中最为精确的系统之一。
光纤干涉仪是一种高精度测量仪器,但存在相位随机漂移及倍频等光学问题。现有文献报导中,解决的方法是采用相位生成载波技术,调制解调的实现过程复杂,并有可能产生信号波形的失真。另外,虽有采用压电陶瓷(PZT)的报导,但未见对相位随机漂移及倍频问题的具体解决方法。为此,本文给出一种简单实用的解决方案,在原理上说明其可行性,并进行了实验验证。
二、Michelson干涉型光纤传感器原理
网
图1所示为Michelson相位调制型光纤干涉仪结构示意图。由激光器发出的相干光经光隔离器和耦合器后一分为二分别送入2根长度基本相同的单模光纤(即干涉仪的两臂,其一为信号臂,另一参考臂),而后被反射膜反射,在耦合器的输出端发生干涉。显然,这是一种 双光束干涉仪,干涉光的幅度与信号光及参考光的幅度有关,其相位为两臂光相位之差,干涉场光强分布为
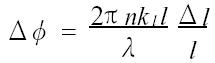
式(1)右端是光电转换的信号,I1、I2分别为干涉仪两臂单独存在时的光强,在检测时通常以直流项对待;2I1I2cos(Φ)表示干涉效应,当Φ=2mπ时,为干涉场的极大值,其中m为干涉级次。式(2)中,Φ为干涉仪两臂光波的相位差,它可以表示为因为环境波动引起的随机漂移信号S和待测信号N之和,由光波波长λ、光纤折射率n以及光纤两臂长度差l共同决定。在波长一定的情况下,两臂光程差改变nl,就改变了干涉信号的相位差,从而实现传感功能。

干涉光信号由光电转换器(PD)转换为电信号。通过检测电信号的变化,就得到相应的干涉光信号的相位变化。
三、相位漂移及倍频原因简析
由式(1)可见,I随Φ呈余弦变化规律,I~Φ关系曲线如图2所示。在Φ=2nπ处为最大值(n=0,±1,±2,⋯⋯),而在Φ=(2n+1π处取值最小,而在Φ=nπ+π/2处变化最快,I变化最快即表示此时干涉仪具有最高灵敏度。
ymZ安规与电磁兼容网
所以,干涉仪应在工作在两臂光程差为π/2的位置,这样它的灵敏度最高;否则,当相位差在π或π的整数倍时,就几乎检测不到信号的变化。在实际探测过程中,即使事先调节两臂光程差为π/2,也会由于缓变的随机相位漂移噪声、偏振噪声及所处环境的某些无规则运动带来的噪声使静态时两臂光程差不能保持为π/2而出现相位漂移的现象,使输出发生漂移,如图3所示。

图2 双光束干涉的I~θ关系图

另外,由式(1)可知,在检测大信号时,若使两臂相位差改变量超过π/2就会出现倍频的现象,如图4所示。可见,此时输出信号不能反映实际信号。

四、采用PZT解决相位随机漂移及倍频问题
(一)PZT的光纤相位调制原理
PZT具有压电效应。当电压加在PZT筒上时,PZT筒的外径周长会发生变化,从而使缠绕在PZT筒的光纤长度及折射率随之发生变化,改变光纤内传输的光波相位。
ymZ安规与电磁兼容网
光纤相位变化量的数学表达式为
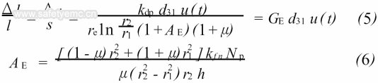
式中,kl为光纤应变系数。由式(3)可知,相位调制的关键是分析光纤长度的变化量Δl/l的规律。
如图5所示模型,PZT筒的高为h,电压u(t)加于内外半径r1、r2间。由于使用的PZT筒半径远大于厚度(即r2mr2-r1),所以在PZT筒内可以认为径向电场强度E为均匀分布。即


式中,re=(r1+r2)/2为平均半径。根据弹性学理论构造柱面坐标系,可以把PZT筒看作是横向效应振子,即在径向施加电场,在圆周围方向发生应变。经过一系列公式推导,可以得到
其中,s为PZT筒的周长;μ为泊松比;AE是一常数,与PZT筒的材料及外形有关;kfn为光纤刚度系数;Np为光纤匝数;kdp是负载系数,这主要是考虑光纤绕在PZT上应变的不一致及滑动所产生灵敏度下降,一般取kdp=0.1~1.0。式(5)和式(6)表示了电压u(t)与光纤应变Δl/l的关系式,它是PZT把电压转变为相位的模型关系式。

可以看到,光纤应变Δl/l与加在PZT两极的电压成正比,这是利用PZT实现光纤的相移补偿的理论基础。
(二)检测小信号的方法
当用光纤干涉仪检测非常小的信号时,两臂相位差的改变不会超过π/2,此情况下可不考虑倍频,只要解决缓变相位的漂移。我们解决的方案如图6所示。

传感器在实际应用中需要探测的信号频率一般至少在几10Hz以上,缓变的随机相位噪声的频率一般小5Hz。适当设置低通滤波器的截止频率,将缓变噪声取出给比较器电路。当存在缓变随机相移时,相位噪声通过低通滤波器,造成比较器电平的失配,从而产生输出并作用于PZT晶体。PZT晶体在电压的作用下产生径向的拉伸或收缩,则缠绕在上面的光纤的长度和折射率也发生变化,使得光相位发生相应变化,通过干涉光路造成了输出光强的改变,并转换成电压信号,构成了反馈环路,从而达到调制的作用。
在没有重新达到平衡之前,比较器的输出电压将会在积分回路的控制下不断的变化(积分回路起到保持电压的作用),带动光纤重新回到平衡相位。两路干涉光中,一路缠在声敏器件上用于信号检测,另外一路缠在PZT上用于相位补偿。实验光源的是输出光强的2mW的LD;PZT相位调制采用直径约25mm的PZT。
(三)检测大信号的方法
当出现大信号的待测信号时,将出现图4所示有失真的倍频现象。我们的解决方案如图7所示,相应实用电路如图8所示。电路的基本思想是利用PZT晶体的压电特性结合PID电路技术对光纤进行调制,不仅对低频相位漂移进行补偿,而且对信号引起的相位变化也同时补偿。这样将信号缓变漂移及信号倍频问题同时解决。
检测水听器输出干涉光的光电管D7将干涉光的强弱变化转变成电流的变化,由12、13、14脚构成的运放将其变化转换成电压的变化并放大,W1的作用是调节放大倍数。W2的作用是调节信号的直流分量,以消除干涉光的直接分量。由2、3、1脚构成的运放对信号进一步放大,并将信号送入PID控制电路。由5、6、7脚构成的运放及其外围的Cp2、Rp6、Cp4、Rp9组成比PID电路。由于PZT的频率响应在水听器有效频段范围内不一致,PID电路中微分回路与积分回路分别针对一些特征高、低频信号选择放大。小容量电容Cp3的作用是防止PZT自激,抑制接近PZT本振频率的噪声(由外界环境或电阻等器件噪声引起)。将反馈电压信号通过适当的带通滤波电路(由9、10、8脚构成的运放及其外围组成)就可以提取出信号,得到待测信号。

图7 检测大信号时的相位补偿原理框架

可以看到,本方案既可检测大信号,也可检测小信号,但电路较复杂。
五、实验及结果
实验装置图如图9所示,将标准压电水听器探头和光纤水听器探头置于同一声场(对声源而言位置靠近或对等)中,并将两探头的输出同时接到数字示波器上进行比对测量。考虑到桶内和振动台面的振动相差较大,故未采用在国家标准中建议的用放在振动台面上的加速度计,改用标准压电水听器(型号RAS22,715研究所制造)。频响在3Hz~1kHz范围内平坦,约为-178.5dB,灵敏度起伏<0.6dB,并将其与被测光纤水听器探头同时置于校准容器(图9的金属圆桶)中。所用振动台型号为2101A,中国航天科技集团第702研究所制造。

实验中,激光器的输出功率约为1mW、波长为1550nm;水听器信号臂与参考臂为7m、直径0.12mm的单模光纤。实验结果如图10所示。可以看出,信号得到如实反映,没有出现倍频失真问题。对比图3、图4波形,直观地看到,低频随机相位漂移和倍频问题得到了解决。

六、结论
针对光纤干涉型传感器普遍存在的相位随机漂移及倍频问题,提出了方便实用的相位补偿的解决方法——通过合适的反馈电路驱PZT对光路进行调制,并从理论和实验验证了其可行性。本文的研究结果,不仅可以应用于水听器的相位补偿,还能用于与此相关或类似的干涉型光纤传感系统,具有较高的应用价值。
EMC电磁兼容设计培训套装,视频教程,让您系统学习EMC知识...
射频工程师养成培训教程套装,助您快速成为一名优秀射频工程师...
上一篇:微波炉的电磁兼容技术
下一篇:浅谈剩余电流保护器的电磁兼容性

