- 易迪拓培训,专注于微波、射频、天线设计工程师的培养
信号路径设计讲座(十) 利用前置放大器提升光电转换的讯噪比
低输入偏压电流(Input Bias Current,,IBIAS)、低输入偏移电压(Input Offset Voltage,IOV )及低噪音的运算放大器,可作为放大发光二极管(Photodiode)输出电流的前置放大器,虽然这些前置放大器的基本电路浅显易懂,然而值得注意的是,若要使其达到最佳运作效能,我们必须低输入偏压电流(Input Bias Current,,IBIAS)、低输入偏移电压(Input Offset Voltage)及低噪音的运算放大器,可作为放大光电二极管(Photodiode)输出电流的前置放大器,虽然这些前置放大器的基本电路浅显易懂,然而值得注意的是,若要使其达到最佳运作效能,我们必须对于其中的细项,如光电二极管信号大小、运算放大器之特性以及电路板设计与制作等,作更深入的探讨。 许多精密仪器,要侦测光的强弱,并将它转换为有用的模拟或数字讯号,本文讨论的光感测电路可以用在计算机扫描、血液分析仪、高精密度电子秤以及烟雾传感器等系统中。
光电二极管特性
光电二极管主要是在受到光的照射之后,其端电流或讯号电流会随着光照强度大小或波长的长短而改变,因此可以把光电二极管看成是电流变化的传感器(Detector),可以用于侦测光的强弱(光照强度)以及物体的颜色(波长)。
零偏压法
如图1所示,一般运用于零偏压法(Photovoltaic Mode)的光电二极管前置放大器,所谓零偏压乃指光电二极管两端的电压等于0V,相当于将光电二极管两端短路,但是短路的发光二极管无法把光电流输出使用。若要为达到零偏压而又能同时使用信号电流,就必须配合运算放大器,利用其虚接地(Virtual Ground)的特性,采用负回授放大电路将零偏压之信号电流转换成可使用的电压。
图1 零偏压法前置放大器 一般前置放大器电路
如图1所示,当感应到光时,光电二极管会产生一道介于1pA 到1mA 范围之间的电流,此电流是代表光的强度。其中一种非常便捷的方法将此极微小的发光二极管输出电流转换成可使用的电压,是使用一个运算放大器把电流转换成电压。 由于运算放大器的反向输入提供一虚接地,此光电二极管偏压将维持在0 V,因此我们可以由此发光二极输出电流,在运算放大器输出端获得一个输出电压为:
公式(1)
其中,Ig : 光电二极管信号电流, 其单位为安培(A)
Rf: 回授电阻,其单位为奥姆(W)
因为光电二极管偏压保持在0伏特,其与对应光的输出电流呈线性关系,若要获得最大的灵敏度则应该尽可能选用大的电阻器作回授电阻。
举例说明,若之值为1000M ,将会使得10pA的光讯号电流产生10mV的电压。
若光信号电流为10nA,则前置放大器会产生10V的电压。因此光的强度愈高,需要使用的回授电阻器应愈小。如此一来,却会降低对微弱光源的感测度。
产生输出误差的因素
我们将接着分柝实际组件规格对应用电路所造成的影响。图二显示一组光电二极管的等效模型电路、其前置放大器以及其相关的直流误差来源。 运算放大器的输入偏压电流为,输入偏移电压为,回授电阻为。
由公式(1)我们可以发现回授电阻做成之输出电压误差VB_Error为:
而输入偏移电压
与光电二极管串联电阻所产生之微小电流IDARK则为:
此电流误差是在没有光源之下,由输入偏移电压引起的微小电流,此微小电流流通光电二极管亦称为暗电流(dark current)。 在实际应用中,输入偏压电流IB和输入偏移电压会随着温度变化而呈明显的递增。而光电二极管串联电阻在一般的室温中不变,每当温度上升 10°C,它的值将会减半。
由上述得知, 输出误差电压总值,将会等于:
依据以上的方程式,我们可观察到选择低的输入偏移电压、低输入偏压电流IB及低温变系数TC的运算放大器,和合适的散热封装技术将有助使这些输
出误差缩小至最低。
噪音来源与分布
我们之前已探讨过组件规格对应用电路所造成的影响,接下来我们将探讨组件噪音所造成的影响。
噪音限制了所有来自前置放大器获得的结果,输出电压总和除以 定义为最低可侦测讯号电流,此电流代表最低的可侦测光能。
以下将关于前置放大器的所有噪音来源以及重要的影响因素,再做简单的讨论。
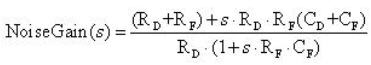
运算放大器的输入端噪音来源为: a) 回授电阻, b) 回授电容,c) 光电二极管电容与运算放大器输入端电容之和, 噪音增益(Noise Gain) 图2的噪音增益函数为:
公式(2)
此前置放大器之噪音增益会在
频率产生一零点(Zero)。而此零点会稍微提高低频讯号的噪音。其次,此噪音增益有极点(Pole)在,此极点会使前置放大器之频率效应平坦。在低频率,噪音增益为,而在高频率,噪音增益为。
图2 等效模型电路 回授电阻RF 噪音效应 回授电阻
所产生之噪音为 (4kT BW),这是电流噪音的主要来源。
若将的值减半,前置放大器的输出也会减半( ),
但RF的噪音只递减
,
信号与噪音比(SNR)亦减少 或3dB,
其中,为回授电阻未减半以前的信号与噪音比SNR。
由此可见, RF值应愈大愈好。
LMV792差动前置放大器
图3显示一全面性信号噪音比的改良方案,我们可以使用一个美国国家半导体的LMV792 运算放大器来缓冲光电二极管。LMV792输出可驱动由美国国家半导体的LMP2014所组成的仪器放大器。在此电路中,讯号的输出水平被加倍,然而输出电压噪音却升不到 2,由此信号与噪音比产生3dB的改良。并且,也同时可以减弱任何共同模式的噪音。
图3 差动前置放大器
作者简介:Nicholas Gray 任职于美国国家半导体公司数据转换系统部应用工程师,电子邮件:nicholas.gray@nsc.com
EMC电磁兼容设计培训套装,视频教程,让您系统学习EMC知识...

