- 易迪拓培训,专注于微波、射频、天线设计工程师的培养
讨论一下PCB的寄生效应
录入:edatop.com 点击:
关PCB挖空,在很多资料中有提到:
1,阻抗线下面挖空几层,一方面是为了拓展线宽,减小插损,另一方面是为了减小参考平面的寄生效应
2,功率电感下面挖空,避免寄生效应
3,TCXO下面挖空,也是避免寄生效应
好了,问题来了,请问这个所谓的寄生效应是怎么来的?为什么挖到主地层就减小寄生参数了?能否详细解释下其中的原理,谢谢!
1,阻抗线下面挖空几层,一方面是为了拓展线宽,减小插损,另一方面是为了减小参考平面的寄生效应
2,功率电感下面挖空,避免寄生效应
3,TCXO下面挖空,也是避免寄生效应
好了,问题来了,请问这个所谓的寄生效应是怎么来的?为什么挖到主地层就减小寄生参数了?能否详细解释下其中的原理,谢谢!
得到资深工程师的回复,茅塞顿开
关注。
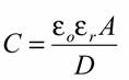
当两个金属很靠近时,便形成了电容。

由上图可知寄生电容跟金属彼此间的距离成反比
距离拉越远 寄生电容就越小
所以挖空的目的就是这样
详情可参照
在此就不赘述
楼上说的很有道理的样子。
挖空的目的是什么?一般什么地方需要挖空。
太高级了 听不懂
请从14页开始看,里面讲得很清楚。
下集_磁珠(Bead)_电感(L)_电阻(R)_电容(C)于噪声抑制上之剖析与探讨.pdf
学习了
学习了
好文,谢谢
谢谢分享
申明:网友回复良莠不齐,仅供参考。
上一篇:wifi evm较差,但灵敏度正常
下一篇:LTE ACLR 抖动是什么原因?

