- 易迪拓培训,专注于微波、射频、天线设计工程师的培养
将声音从数字信号转换成模拟讯号
电气系统中的音频信号一向是以模拟电信号来表示。尽管现今的系统中已运用数字处理及放大技术,但是音频信号还是必须经转换为人类听觉系统可感应的模拟信号。目前在大多数可携式及小型消费类产品(例如︰MP3、可携式DVD和平板显示器等)中,开关模式(D类)音频功率放大器的应用已相当普遍。由于D类放大器的功能耗损较低,因此能够实现较高的效率。它不但延长可携式设备的电池使用寿命,并且能够减小散热器的尺寸和PCB的面积,因此节省了系统成本。所以许多大型平面显示器和消费类音频产品都更愿意采用此类放大器。
不过由于D类放大器基于数字调整技术和高开关频率信号,其目的为实现信号的高效率放大,因此调节频率通常高达数百kHz,远远超出音频范围。由于我们需要从数字元或调节信号来恢复所需的真实音频信号(音乐),因此必需采用一个输出低通滤波器过滤高频的分量,来再生与人类听觉系统相容的真实模拟信号。本文将阐述一些有关输出低通滤波设计的考虑因素和建议。
D类放大器
单片式D类音频放大器包括模拟音频输入、调节器、功率晶体管等。

输出滤波器设计
由于我们需要恢复所需的音频信号,因此设计出一款较佳的输出低通滤波器为第一重点,以滤除高频分量(无用信号)并获得品性优良的模拟声。我们必须设计具有与负载阻抗相匹配的特定电抗性输出阻抗的输出滤波器。

D类放大器的输出滤波器通常是一个二阶、LC型Butterworth(巴特沃斯)滤波器。这是因为Butterworth滤波器能够提供相对平坦的通频频率回应,而且所需的元件数量最少。以下为一幅参考曲线图,用于显示Butterworth、Bessel(贝塞尔)和chebyshev(切比雪夫)型滤波器的LPF回应。

■电感和电容值的计算︰
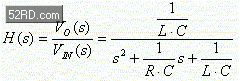
二阶Butterworth滤波器的通用转换函数为︰

用
来替代电感和电容,代入S域。
转移函数则变为︰

用
来简化这些方程式所得如下:

对于一个实际的BTL电路,输出滤波器如下所示︰

推导出的BTL滤波器方程式为︰

LC滤波器的3dB切断频率为︰

根据以上的方程式,以下图表列出对应特定fc和RL的电感(L)值和电容(C)值。
■电感的选择
电感为输出滤波器中的关键元件,它与D类音频功率放大器系统的DC电阻和最高电流率规格有关,而DC电阻反映总输出功率的效率。系统的效率可由以下公式估算︰

在此公式中,RL是放大器的DC电阻,RDSON是D类放大器内部输出驱动器的晶体管导通电阻,而RIND则是电感的DC电阻。
除了选择合适的电感值以获得某一特定的截止频率之外,输出电感的最大DC电阻是影响总体效率的另一个关键。因此强烈建议您采用DC电阻较低的电感。对于电感而言,另一个须加以考虑的重要关键为其最大电流率。如果电感的电流率不足以维持元件的输出电流,则电感将起短路的作用。这将对元件或扬声器造成伤害。最后另一值得注意的是为了降低失真、EMI和串扰,建议采用遮罩式电感(例如︰Pot-Core电感)。Pot-Core具有卓越的遮罩性能因为除了两端引线之外,其电感线圈完全被包覆。
■电容的选择
在计算高频电容的过程中,最重要的关键之一为Q因数,或相关的等效串联电阻(ESR)。简单而言,ESR就是给定频率条件下电容当中的串联和并连损耗的一个衡量尺度。理论上,“理想”电容的ESR将为0Ω,并且是纯电感性的,没有电阻性分量。流经电容的电流在所有的频率上都将刚好超前电容两端的电压达90°。但是在现实中,电容总会呈现出某种有限的ESR。
品性因数Q等于电容的电抗与电容的寄生电阻(ESR)两者相除所得的商。由于电抗和电阻均会随频率而改变,因此Q值将随频率的改变而发生变化。电容的电抗会随着频率或电容值的变化而出现极大的波动,Q值因而有可能发生明显的变化。
Q = 电抗/ESR
金属薄膜电容能够保持较高的温度、频率和电压稳定性。在常见的音频系统中,强烈建议以金属薄膜电容来替代陶瓷电容。同时,在使用电容时也必须加以考虑另一个被称为“电压等级”的要素,以确保电容在其有效使用期内以及在不发生预期故障的情况下所能承受的电压。
■电压率
电容的电压率可由以下公式计算︰

为了从放大器获得更加优良的输出信号和总体性能,输出滤波设计毫无疑问是一个关键性的因素,不过电源滤波也会是一个值得关注的重要问题。
D类放大器中的电源滤波有两个目的:
其一︰隔离D类放大器与电源噪音。
其二︰高频噪音。在D类放大元件中,至少包含两组电源,即︰模拟输入及控制(AVDD)和输出晶体驱动(PVDD)电压。
为了分离电容器,我们必须考虑最高开关电流率,以获得一个最小电容。
针对最高开关电流率的最小有效电容可由以下公式计算︰

其中:
为週期,DMAX为最大duty cycle,VRIPPLE为涟波电压。
ESR在大多数情况下都会引起涟波电压。由ESR和IPEAK产生的最大VRIPPLE为︰

由以上公式我们注意到︰ESR将会对电容器的有效电容产生影响。建议连结两个或以上的电容以减小针对不同频率范围的ESR。通常採用两种不同类型的电容,一般是把具有较高电容值的电解电容或钽电容用于低频滤波器(约10kHz),而将一个并连的小数值陶瓷电容用于高频滤波(〉3kHz)。
美国国家半导体公司的做法
对于D类音频放大器,美国国家半导体推出10W单声道D类产品LM4668和LM4680。这为工程师们提供一种具有少量外部元件的音频元件,是简易而完整解决方案。LM4668和LM4680采用平衡、浮动调节器设计来免除基础噪音。平衡调制器的PWM输出用于驱动LM4668或LM4680的H桥配置输出功率MOSFET的闸极极。脉波序列将被加至一个输出LC滤波器,以消除不必要的高频信号。LM4668和LM4680的调节器所谓接通频率约为450kHz。
以下为采用定值LC输出滤波器的LM4680的应用图解。

推演出的元件与切断频率(Fc)的关系程式为︰
滤波器的两个电感的数值等于︰
L = RL/2πfC (1)
三个电容的数值均等于︰
C = L/1.5R2 (2)
建议把具有上述特定参数值的二阶LC输出滤波器用于LM4680的输出滤波(对于一个8Ω负载);可以获得47kHz的指称切断频率。它确保衰减大幅小于3dB(在20kHz的情况下)。
关于电感的建议
当把负载驱动至最大功耗时,输出滤波器电感必须具有一个高于放大器最大输出电流的最大电流率。所以当向8Ω负载输送10W输出功率时,最大输出电流可能在1.1Arms左右,因此电感的电流率至少应为1.2Arms,以防止电感发生饱和现象。建议采用遮罩式电感器,以便更好地抑制EMI。

例如︰TOKO(A7503HY-270M)电感
LM4668和LM4680可在各类应用中使用,包括LCD监视器、TV、电脑声卡、多媒体放大器和广播系统等。这两款元件均能够向8Ω负载提供6W BTL输出功率(2% THD),也可向8Ω负载输送10W输出功率(〈10% THD)。
LM4668和LM4680提供了短路保护、热保护、超调整保护等功能,因此它们是为您的系统达到高品质和高稳定性D类音频放大器的理想零件。
LM4668提供TSSOP-20和LLP-14封装,LM4680提供LLP-14封装。
而基于相同D类演算法的BTL输出10W D类身歷声元件LM4681则即将面市。除了可驱动8Ω负载的10W身歷声通道之外,LM4681拥有丰富的功能,提供立体声头戴式耳机驱动器以及用于停机和32级音量控制的I2C/SPI可选控制介面。
以下是LM4681的内部电路图解︰

由于I2C和SPI控制介面在不同类型的系统中均得到十分广泛的运用,因此,它将为工程师在系统硬件上进行设计带来便利,并能够以较少的外部元件来建构系统。LM4681能够向8Ω负载输送每通道10W的输出功率(〈10% THD),也可向32Ω H/P提供每通道80mW的输出功率(〈0.5% THD)。当驱动放大器时,音量控制范围为+30dB至 -48dB;当驱动头戴式耳机时,音量控制范围为+13dB至 65dB,而该零件也提供LLP-48封装。
结论
在这个科技世界里,许多系统和产品都已经数位化,D类放大器就是基于这种原理的常用音频放大技术。它能够提供较高的效率,因而实现更加小巧的外观设计并节省更多的功率。在这一最新的电子产品领域,美国国家半导体的D类扬声器能够完美地应用于众多系统并提高其品质及稳定性。(本文作者为NS亚太区音频产品资深应用工程师)
上一篇:8位元MCU之系统整合
下一篇:EMI滤波器的设计原理

