- 易迪拓培训,专注于微波、射频、天线设计工程师的培养
交错式功率级:不再仅适用于降压转换器
--------------------------------------------------------------------------------------------------
传统正向转换器的输入电流是间断的,应通过输入电容器 (Cin) 过滤。这就形成了较高的输入电容器 RMS 电流 (Icin)。
输出滤波电感器 (L1) 用约为基于输出电流 (Iout) 25% ~ 30% 的电感器纹波电流 (△IL1) 来计量,以满足输出纹波电压的要求 (Vripple)。



交错式正向转换器只是两个正向转换器以 180。的相位差进行工作而已,其优点在于降低了输入电容器 RMS 电流与输出电容纹波电流。




在50% 占空比时电容器纹波电流降低最佳
值得注意的是,设计人员应了解在 50% 占空比时产生的电容器电流降低最大。图 4 显示了在大约 40% 占空比情况下输入与输出电容器电流的波形。由于占空比小于 50%,因此交错式转换器的输入电流不太连续,也增加了输入电容的 RMS 电流。输出电感器纹波电流不再对称,转换器工作在 50% 的占空比时纹波电流也不抵消。这增加了电容器输出纹波电流量。




-输入电容RMS电流在D>0.5时

以下方程式与图示显示了输出电容器纹波电流 (△Icout) 与电感器电流变化 (△IL) 之比是如何随着占空比而改变的。图 6 显示了最大的电感器纹波电流抵消出现在占空比 50% 的情况下。

设计考虑因素
如欲在进行交错式正向设计时获得滤波电容器电流的最大降低,就应在占空比范围内进行正确选择。我们可以通过根据具体设计的输入输出电压要求来调节变压器匝比 (N) 以实现上述目的。
以下方程式可用来估算 N,其中,Vin(min) 是最小输入电压而 Dmax 则为所选的最大占空比。Vd 代表输出二极管的正向压降。

一旦确定了最大占空比及变压器匝比,我们就可计算出最小占空比 (Dmin)。利用图 5 与图 6 给出的信息与图示,我们就可得出该设计最坏情况下的过滤电容电流。

设计实例
双交错式正向转换器用 UCC28221 交错式 PWM 控制器构建而成,以显示电容器纹波电流随占空比发生的变化有多大。200W 转换器经过精心设计,适用于带有 12V 稳压 DC 输出的 36V 至 76V 的输入电压范围。输入电压的二到一变化将引起占空比大约二到一的变化。为了优化变压器复位并降低电容器电流,该设计选择了 0.6 的最大占空比。每个转换器均针对 500 kHz 的开关频率 (fs) 进行了精心设计,以抑制磁力强度。该设计的输出二极管为肖特基二极管,Vd 约为 0.3V。这就使得 N 为 1.75 比 1,而最小占空比 0.28。
为抑制正向转换器的峰值输入电流,输出电感器针对 60% 的纹波电流进行了精心设计。这使得滤波电感器约为 3.5mH,该电感大小基本与电感器纹波电流约为最大负载电流 (Iout) 30% 的单个正向转换器使用的相同。

上述设计的输出电容纹波规范最大为 200mV(Vripple)。当电源转换器工作于 0.28 即最小占空比时,输出电容器纹波电流最大。输出电容应抑制纹波电流以满足输出纹波的要求。图 6 中的图示显示出输出电容的纹波电流约为滤波电感器纹波电流的60%。这使得电容器纹波电流约为3A (△cout)。该设计要求 ESR 小于 66mΩ 以满足输出电压的要求。

相同开关频率与功率级的正向转换器设计容许的最大 ESR 约为 40mΩ。与该设计的标准拓扑相比,交错式转换器使得设计人员可使用的最大容许 ESR 多了 1.7 倍。但具体结果会随设计要求而变化。如果转换器设计的最小占空比是 0.4,那么在相同功率级与输出纹波要求下设计的最大容许 ESR 将是 120mΩ。这大约是标准正向转换器容许 ESR 的三倍。

该设计的输出电容器 RMS 电流 (Icout(RMS)) 约为 1.74A,约是标准正向转换器的 60%。
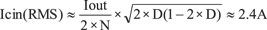
就该设计而言,输入电容器 RMS 电流在占空比 (D) 约 28% 的情况下最大。最大输入电容器 RMS 电流约为 2.4A。相似功率级设计的传统正向转换器的输入电容器 RMS 电流约为 4.7A。就该设计而言,采用交错式转换器将使输入电容器 RMS 电流降低约 50%。


以下示波器波形显示了纹波电流抵消如何随占空比而变化。图 7 反映的是电源转换器在 50% 占空比时的工作情况。两个输出电感器电流之和 (IL1+IL2) 几乎为 DC,这使得输出电容器纹波电流几乎为零。
图 8 中的示波器波形反映的是转换器在最大线电压(约 76V)时的工作情况。正确调节 12V 输出要求占空比约为 28%。我们从示波器波形可以观察到,电感器电流之和有 3A 的峰间纹波电流,应由输出电容器加以过滤。该峰间电容器纹波电流 (△Icout) 约为电感器纹波电流的 60%。

结论
双交错式正向转换器对高电流/高功率密度设计可能有益。这种转换器拓扑对中间总线转换器以及商用电源应用是相当理想的,因为输入与输出电容器纹波电流的降低减小了输入与输出电容器的压力。交错式转换器的电感器纹波电流抵消使得设计能够获得更高的输出电容 ESR,这也就使得我们能够降低设计的输出电容要求。

