- 易迪拓培训,专注于微波、射频、天线设计工程师的培养
DC-DC转换电路拓朴初探
在各种电子系统当中,稳定的电源供应是确保系统能正常运作的首要课题。因应各种系统不同的电压需求,供应电压的转换也形成一门值得深入研究的学问。电压转换的方式依照电路结构与操作方式大致可分为两类:线性稳压器(linear regulator)与交换式稳压器(switching regulator)。
传统线性稳压器使用工作在饱和区(FET)的电晶体当作可变电阻,以调节不稳定的输入电压,提供固定的输出电压。被动元件必须承受随负载而改变的电流,若输入电压改变或是负载突增,则被动元件的功率消耗也会随之增加,因此造成转换效率的下降。
交换式稳压器顾名思义是以控制信号控制导通元件,使其在截止、饱合与三极管等三区作切换。它使用电感或电容做为电能储存装置,透过切换的动作把电能从输入端转送至电源供应电路的输出端。不同于只能降压的线性稳压器,交换式稳压器可以升压、降压或将输入电压反相;此外,电能储存元件也可让输出电流不等于输入电流。即使输入电压变化甚广,负载变化甚大,仍可获得极高的效率。不过由于交换式电源是以周期性的切换来达到稳定的输出,因此会在输入及输出端产生脉动电流,而对系统产生不必要的干扰。
高效率的交换式电源稳压器其设计上却比传统的线性式电源稳压器来得复杂许多,设计者必须具备有模拟、数字电子电路设计、逻辑与回授控制器以及磁性元件设计的专业知识。
以下就线性稳压器、电荷泵浦及以电感为基础的交换式电源转换器等三种电压转换方案做讨论。
低压降线性稳压器
最简单的降压转换方案是使用低压降稳压器(Low Dropout;LDO),因为其体积小、反应速度快、低噪音的特性,成为小功率降压与稳压电路的主流,被大量地使用在各种可携式电子产品上,常作为交换式稳压器输出的滤波电路。
线性稳压器的系统主要由导通元件(BJT或MOSFET)、R1及R2分压电路、误差放大器与参考电压Vref构成一负回授系统。

(图一) 低压降线性稳压器电路架构
其操作原理为,当输入电压Vin>Vout时,藉由电晶体吸收输入、输出的电压差Vdropout=Vin-Vout,并藉由回授控制电路控制以提供平稳的输出电压。由于电晶体Q操作于FET饱和区(若导通元件为BJT则为主动区),其作用如同一个可变电阻。输出电压可近似为:

(公式一)
适当选择R1、R2及Vref即可得到所要的输出电压。在正常操作范围内,无论输入电压如何变动,输出电压均能保持定值,达到稳压的目的。
考量导通元件的选用,因为BJT有基极电流造成电流的浪费,且输出输入电压差也较高,近年来导通元件几乎都已改用MOSFET。由于MOSFET几乎没有流过闸极的电流,因此不会有电流浪费,且输入输出电压差也较小,故较适合用于低压降线性稳压器的架构。而在MOS当中,PMOS只需要低的闸极电压即可驱动输出元件,电路的复杂性比NMOS低,因此PMOS为目前低压降线性稳压器最常使用的输出元件。
输入输出电压差(drop-out voltage)为线性稳压器极为重要的参数。所谓输入输出电压差,便是指当线性稳压器在正常操作范围时,输入电压与输出电压的最小差值。当输入输出电压差的值小到某一程度,便称此种线性稳压器为低压降线性稳压器。
相较于一般线性稳压器,在同一输出电压的情形下,低压降线性稳压器所需的输入电压较低,因此能够有较佳的转换效率。若是用于以电池作为输入电压源的应用场合,由于电池随着使用时间长,电池电压会慢慢降低,因此低压降线性稳压器提供非常低的最小电压差,因此就算输入电压很低,它们也能正常工作,能有效延长电池的使用时间。
要判断稳压器对应的输入电压操作范围,必须将稳压电路所要求的输入输出电压差列入考虑,输入电压必须大于目标输出电压以及最小电压差额定值的总和,也就是Vin>Vout+Vdropout。当输入电压不能满足最小电压差的要求时,稳压器对负载的稳压能力会变得很差,输出电压Vout也会随着输入电压而改变,如(图二)所示。

(图二) 低压降线性稳压器输入输出电压转换曲线
考量电压转换效率,负载电流几乎等于输入端电压源供应的电流,因此效率与电压变化有更加绝对的关系,当输入电压与输出电压的差值越大,则会导致电源转换效率下降,造成更多的能量损耗。

(图三) 低压降线性稳压器转换效率曲线
由转换效率曲线可知,目标输出电压为2V,当电池电压为3V时,转换效率约为60%,这表示进入LDO的电能有近40%的能量转换为热能的形式销耗掉,使得LDO产生可观的热量,而必须考虑散热问题。因此LDO的应用必须谨慎考虑,如果成本和体积是最重要的设计因素,那对于电流需求少,输入到输出电压差又很小的应用,线性稳压器或许是最佳选择。
LDO的特点如下:
●电路架构简单、成本低,佔用电路板面积小;
●输出电压对输入电压或负载的变化反应较迅速;
●能使用在不允许使用电感器的系统;
●能抑制输出电压的噪音和涟波;
●只能作降压的转换;
●容易发热,温度问题有待解决;
●输入电压与输出电压的差值越大,效率越低。
电荷泵浦
无电感交换式DC/DC转换器又称为电荷泵浦(Charge Pump),它们是最简单的交换式稳压器。以单纯的降压转换而言,电荷泵浦由于电路都是电容元件,通常能比LDO提供较高的效率,但必须以更高的成本做为代价。
在许多应用中需要有升压或是降升压转换功能,而这些应用需要很高的转换效率,却没有足够的空间和成本,因此无法利用电感式直流电源转换器做出转换效率最高的解决方案。此时电荷泵浦稳压器就是可行的解决方案,在可携式电源的设计当中占有极重要的角色。
电荷泵浦使用多颗开关和电容,电压转换动作是透过週期性切换电容器来达成,输入电源的电荷会经由飞驰电容来储存并转换能量传送至输出电容。这种转换器的设计简单,效率也很高是它的主要优点,其电路架构如(图四)所示。若不采用回授稳压电路,这类的转换器只能提供输入电压整数倍的输出电压,但不同的回授方法却会对转换器效率和涟波产生不同影响,因此工程师应针对他们的应用需求来选择适当的回授方法。

(图四) 电荷泵浦电路架构
交换式转换器都必须使用开关电晶体做快速的充放电切换,因此会产生输出涟波,甚至发出电磁干扰。为了将涟波和电磁干扰减至最少,可以在输出端外加线性稳压电路。
电荷泵浦的工作原理如下:
(1)当控制信号使开关S1、S2、S3与S4导通时,因为信号反向的关系,S5、S6与S7均为截止,飞驰电容C1、C2与输入电压源并联并开始充电,Vin对三个电容个别充电至大约Vin的电压,此时负载的电压完全由输出电容Cout供应。
(2)而当开关S5到S7导通时,则S1到S4为截止,三个被充电至Vin电压大小的飞驰电容改以串连的形式连接,并持续对输出电容放电以维持稳定的输出电压,Vout最高可被充电至3倍Vin,即Vin+Vc1+Vc2的电压。
因应输入电压的变化,可透过元件内部的开关控制飞驰电容充放电,切换至不同的倍压模式。在不同模式下,输入电压能上升不同的倍数,使转换后的电压不低于目标输出电压。这种因应不同输入的调变机制会造成效率曲线产生如同步阶般的变化。
电荷泵浦具有以下几点特性:
(1)转换效率优于低压降线性稳压器;
(2)低EMI或输出涟波;
(3)输出/输入电压比值受限;
(4)价位中等。
DC/DC转换器
这类交换式转换器至少会使用一个电感器作为电能储存元件,此外需要输出电容器。在所有的直流转换方法中,这种技术提供最高的电源转换效率。相较于线性稳压器和电荷泵浦,交换式转换器能在更宽广的负载范围内提供高效率,高的电源转换效率可将散热问题减至最少,热管理更简单。能量损失较少,也可进而延长产品的工作时间。除了这个主要的优点,还能支援反相、降压、升压或是降升压等电路拓朴。
直流电源转换器通常利用脉冲宽度调变(PWM)机制来控制导通元件,此技术会改变工作週期(Duty Cycle),也就是电晶体导通时间和截止时间的比值,再配合电感的电力储存能力,让输出电压在有限的输入电压和负载电流范围内保持固定;FET导通阻抗和电感的直流阻抗越小,功耗就越少,转换效率也越高。然而负载电流越小,PWM控制电路的效率就越低,因此有些电源转换器可将工作模式切换成脉冲频率调变(PFM),以便在整个负载范围内都保持很高的转换效率。不过在一些高电磁干扰的应用,必须将开关频率固定让干扰减至最少,就不适用脉冲频率调变的方式。
使用电感的交换式转换器(converter)IC除了包含控制电路外,至少还会内建一个开关电晶体;而只包含控制电路的直流电源转换器通常被称为交换式控制器(controller),它们提供设计人员相当大的弹性,让工程师能选择外接式开关电晶体,针对应用需求调整限流值,但必须额外增加外部零件的成本。这两种元件的输出电流范围都大于电荷泵浦。下文将介绍升压与降压两种基本的直流转换器。
降压式转换器(Buck Converter)的动作原理如下:

(图五) 降压式转换器电路架构
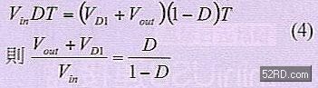
(1)当电晶体Q导通时,二极管D1的阴极电压约等于输入电压Vin, 二极管逆偏形成断路,输入电压经Q对电感充电并供应电压至电容Cout及负载,此时电感电压VL=Vin-Vout。
(2)当Q截止时,电感的电压极性反转,使二极管顺偏导通,电容Cout及电感均对负载放电,此时电感的电压为VL=-(VD1+Vout)。
由电感电压的伏特-秒平衡(Volt-second balance)关系可推得输入输出的电压关系:

(公式二)
其中T为电晶体的切换周期,D为电晶体的工作週期,由于0<D<1,此电路的输出电压Vout必会较输入电压Vin来得小,故转换器可达到降压的功能。

(图六) 输出电压为10V的降压式转换器转换效率曲线
升压式转换器(Boost Converter)的动作原理如下:

(图七) 升压式转换器电路架构
(1)电容Cout已被充电的情况下,当Q导通,二极管D1会被逆偏压造成断路,输入电压Vin对电感充电,此时电感电压VL=Vin,电容对负载放电。
(2)而当Q在截止状态时,电感极性反转使二极管顺偏压导通,并对电容Cout及负载做放电。此时电感的电压为VL=-(Vout+VD1-Vin)。
同样由电感的伏特-秒平衡关系可得:

(公式三)
由于0<D<1,此电路的输出电压Vout必会较输入电压Vin来得大,故为升压式转换器。
降压式、升压式转换器具有以下几点特性:
(1)价钱较高;
(2)效率最高,温度问题容易解决;
(3)高EMI与输出涟波;
(4)适合操作于输出入电压差较大的情况;
(5)适用于高输出电流的应用。

(图八) 输出电压为10V的升压式转换器转换效率曲线
■SEPIC转换器
单端初级电感转换器(Single-end Primary Inductor Converter;SEPIC)转换电路的主要架构是由PWM控制器与一个变压器或两个独立电感组合而成,可产生定电压的稳定输出,普遍被应用在以电池为主的可携式电子产品上。电池提供的电压高于目标电压时,转换电路进行降压;当输入电压下降至低于目标电压,系统可调整工作周期,使转换电路进行升压动作。

(图九) 单端初级电感转换器电路架构
SEPIC电路的基本原理如下:
假设在SEPIC电路中的电感L1及L2在Q导通或截止时,均能维持伏特-秒平衡的状态,则两电感的平均电压都为0。经由Vin、L1、C1和L2的迴路可知,电容C1的电压Vc1=Vin。
(1)当电晶体Q导通时,使电感L1与电容C1的一端接地,二极管D1受到逆偏压而形成断路,输入电压Vin对电感L1充电;C1电容上储存的电压则对L2充电,稳态时电容C1上的电压等于输入电压Vin,使L1、L2电压均为Vin。
(2)当电晶体Q截止时,两电感的极性反向并将所储存的能量经由二极管D1释放至电容C1、Cout及负载。同样由于Vc1=Vin的关系,使L1和L2的电压同为-(VD1+Vout)。
由电感的伏特-秒平衡关系可得:

(公式四)
由上式可知,可藉由调整D来达到升压或降压的目的,若D>0.5时Vout/Vin>1,为升压作用,反之D<0.5时为降压。
SEPIC具有以下几点特性:
(1)效率高,但略低于降压式、升压式转换器;
(2)高EMI及输出涟波;
(3)需要搭配的元件数多,价格最高;
(4)具备升压与降压两种功能;
(5)可用于高输出电流的应用。
结论
每种设计方法都有其优缺点,工程师必须依据设计需求决定电源转换元件的种类。要为系统选择最好的离散式DC/DC转换器,就必须在整体成本、效率、输出噪音、设计弹性和占用电路板面积之间做出适当取捨,以便在低压降线性稳压器、电荷泵浦和採用电感的交换式直流稳压器之间做出选择,满足可携式应用的电源转换需求。
总体而言,相较于线性电压转换器,交换式转换器的最大弱点在于投入的成本,包括需要较多的设计时间、零件数目、电路板面积以及输出噪音。在追求高获利的科技业界,面对成本增加的问题,交换式转换器看似缺乏吸引力,但极高的转换效率,却让增加的时间和零件成本值回票价。

