- 易迪拓培训,专注于微波、射频、天线设计工程师的培养
省能电源设计及解决方案
对于具体节能电源的设计,不论是外部电源,还是设备内部电源电路,应该以两方面来考虑:首先,它必须拥有非常高的转换效率;其次,是在待机模式之下,必须有低的静态消耗功率。面对节能设计挑战,除了使用各种新的拓墣结构与技术,来提高电源转换效率之外,还可以从其它方面来着手。
节能电源设计重点
近几年来,随着环保意识抬头与全球能源逐渐短缺之际,电力能源已经成为人类不可或缺的资源之一,人们也开始从开发新能源以及节约能源方面来着手因应,并且进行多方面的研究与探讨。所谓的绿色电源和相关之节能法规也应运而生,满足世界各地的电源规范标准变得愈加重要,电子设备厂商除了需要着重产品本身的特色功能之外,还要关注电源管理之架构设计以符合节能规范。
为了推广高效率节能产品,以方便消费者来做区分,全球多个国家和地区纷纷发布了各种节能规范,例如美国加州能源委员会(CEC)、「能源之星」认证项目、欧盟行为准则、欧洲高效能电器组织(GEEA)。规范的制定和推广产品能源效率标准、发展节能产品认证是提高能源利用效率的有效途径,各种环保和节能政策给电子制造商带来了挑战与压力,但同时也促使了电源产品朝向更省能的方向发展。
对于具体节能电源的设计,不论是外部电源,还是设备内部电源电路,应该以两方面来考虑:首先,它必须拥有非常高的转换效率;其次,是在待机模式之下,必须有低的静态消耗功率。
面对节能设计挑战,除了使用各种新的拓墣结构与技术,来提高电源转换效率之外,还可以从其它方面来着手。
降低待机功率消耗
对于想要出口欧美等地的电子厂商,满足国际强制执行的待机功率法规将非常重要。一般多数电源控制器需要一定的能量来进行和管理它们的开关和控制功能,如何降低电源供应器在轻载或无载时,所消耗功率的方法与技术,也有许多被提出与实际地应用,这些方法通常都是利用降低切换频率来达成。
因此,主动突冲模式(Active burst mode)的详细动作原理便是主要关键。在架构上,这是内含CoolMOS 与PWM的整合电源控制IC,它含有控制器跟CoolMOS功率开关,设计者可以用它来实现当前各种新型开关电源,例如要求待机功率低、外部元件少、电路面积最小等等,其应用线路如(图一)所示,此IC在空载或轻载时提供主动突冲模式(Active burst mode)的功能,使系统达到最低的待机功率消耗需求小于0.1W。所谓主动突冲模式(Active burst mode)亦即IC一直是处于主动的状态之下,因此可以立即地对回授脚位,VFB的信号做出反应。

(图一) PWM集成电源控制IC应用电路示意图
由于电流模式控制之故,回授电压VFB实际控制传递到输出的功率,当输出负载变低时,回授电压VFB也会降低,如果持续低于1.32V一段时间且长于遮蔽时间(Blanking time)之后,IC会进入主动突冲模式(Active burst mode),进入主动突冲模式(Active burst mode)的功率点为:

(公式一)
其中LP为变压器一次测电感,VFB_burst=1.32V为系统开始进入burst的回授电压,VRAMP=0.85V是PWM-OP内部电压斜波的最大值,AV=3.7是内部PWM—OP的增益,RSENSE是电流感应电阻,fSW是开关频率,(图二)显示当负载由满载到无载的变化波形,在遮蔽时间之后,IC会进入主动突冲模式。

(图二) 进入突冲模式示意图
当处于主动突冲模式时,IC会一直监测着回授脚位的输出电压,VFB,其控制着突冲责任週期与突冲频率,突冲「On」开始于当VFB电压达到4V,结束于当VFB电压降到3.4V,在突冲「On」时,一次侧的电流被限制在最大峰值电流的25%(VCS=0.25V),以减少导通损失及避免音频噪音产生,FB电压会像锯齿波般的于3.4V到4V之间变化,其对等的二次侧输出涟波如下所示:

(公式二)
其中,Ropto为在二次侧与光耦合器串连以限制光耦合器电流的电阻,RFB是IC内部连接到FB脚的提升电阻,Gopto光耦合器的电流转换增益,GTL43是TL431的输出与Vout间的电压转换增益,ΔVFB=4-3.4=0.6V为在主动突冲模式时VFB的涟波,(图三)与(图四)显示当于突冲模式时,空载或轻载时的波形,可以清楚看到突冲涟波被整流于32mV,而且与输出功率无关。

(图三) 工作于突冲模式空载时示意图

(图四) 工作于突冲模式轻载时示意图
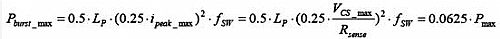
当输出负载增加到超过Pburst_max时,Vout会掉一点点且VFB会快速上升到4.8V,离开突冲模式的功率临界点Pburst_max为:

(公式三)
其中,Ipeak_max为一次侧最大峰值电流,VCS_max为CS脚位电流限制的临界电压,Pmax是最大输出功率,可以明显看到在突冲模式的最大功率为Pmax的6.25%,当VFB达到4.8V,系统会马上离开突冲模式,一旦系统离开突冲模式,电流感应电压,VCS_max会被放开到1V,回授电压VFB会回到所需要的位准,离开突冲模式的时序图如(图五)所示。

(图五) 离开突冲模式时序图
当离开突冲模式而造成输出电压下降可以下式来表示:

(公式四)
(图六)显示离开突冲模式从轻载到满载变化的波形,输出电压下降的幅度约130mV。

(图六) 离开突冲模式的测试波形示意图
(图七)则是空载与轻载时的待机功率,于(图一)应用线路的展示板实际所测量到的结果。

(图七) 待机功率测量结果
抑制谐波 使用PFC控制电路
除了增加电源转换效率、减少待机功率消耗,随着电子技术的发展和电子设备的广泛应用,电力线路的谐波污染日益严重,给电力公司供电线路带来额外负担,并影响供电品质。因此,有效地提高输入功率因数,可以充分利用发电厂的电力,减少损失,提升使用者端的电力使用效率。
在大多数电器产品中,其所需要的工作电压为直流电,所以必须将电力公司所供给的交流电转为直流电,最常见的是被动式PFC,因为其结构简单且成本低廉,具有设计简单及电磁干扰(EMI)较小等优点,而主要缺点为对输入电压频率相当敏感、体积大、重量重,但是由于滤波电容与电感器本身阻抗特性,导致输入电压与电流存在着相位差,以及输入电流的波形失真,因此功率因数(Power Factor)低落,能源消耗而损失,为了提高功率因数,则必须在电器产品输入端加装功率因数校正电路(Power Factor Correction circuit),而相较于被动式功因校正电路,主动式功因校正电路有着体积小的相对优势,成为现今的主流。
连续传导模式(CCM)功率因数校正控制器可以在从空载到满载很大的变化范围内工作,并具有开路保护、输出过压保护以及交流电压欠压保护等功能。此IC适合于低成本的连续传导模式功率因数校正电路设计,解决传统CCM PFC电路对电力线的干扰问题,提高电源可靠性和效率。
对于低于200瓦的小功率装置,不连续传导模式(DCM)因其低廉的价格受到普遍欢迎,此外,由于其控制电路只有一个电压控制迴路,因而採用DCM的PFC设计更为简便。
然而,由于它的电流涟波较大,DCM很少用于大功率场合,在设计大功率时,CCM的PFC将更具优势,在CCM的拓墣结构中,它的传输函数存在电压及电流两个控制迴路,因而其控制电路设计复杂,CCM PFC控制器的脚位数目也较多,为了降低设计成本与难度,厂商也开发相关PFC控制器,根据故障模式影响分析(FMEA)整合许多保护线路。

(图八) 典型CCM PFC方块图及波形示意图
■工作原理
传统的CCM PFC的电路结构如(图八)所示,可以看到传统的PFC电路存在两个控制迴路:一个是电压迴路用于调整输出电压;另外一个是电流迴路,用于控制输入电流。误差放大器的输出Verr决定了输入电流Iin的幅值大小,Verr乘以正弦波参考信号|Vin|得到正弦输入电流。在传统的CCM PFC中,|Vin|是不可少的,它用于产生电流控制迴路中的正弦波输入电压。
新式PFC控制器的一个典型应用如(图九)所示。该IC具有8个脚位,没有直接输入IC的正弦波信号。

(图九) 新式PFC控制器的应用线路示意图
此IC的基本原理如下所述,假设电压迴路正处于工作状态,输出电压保持恆定,则一个CCM升压型PFC控制系统的MOSFET的DOFF可以由下面的(公式五)得到:

(公式五)
从上面的公式可知,DOFF正比于Vin。电流迴路的目的在于调整电感电流的平均值,使得它正比于开关的DOFF,从而正比于输入电压Vin。其关系如(图十)所示。

(图十) 平均电流控制
电路的斜波信号由内部振荡器产生,斜波信号的幅值一方面受内部的控制信号控制,但另一方面却可以影响输入平均值电流的幅值。
■增强动态响应
由于PFC的固有属性,PFC动态迴路总是以低频宽进行补偿,目的是不对频率为2*fL的涟波产生响应,这里的fL指的是交流电源的频率。因此,当负载突然变化的时候,调整电路不能做出快速响应,从而引起输出电压波动过大。为了解决这个问题,在IC中採用了增强动态响应功能,一旦输出电压超过正常值的5%,IC将跳过慢补偿的运算放大器,直接作用于内部非线性增益区块而影响责任週期,输出电压能够在一个短时间内回覆到正常值,(图十一)所示为实现增强动态响应的示意图。

(图十一) 增强动态响应示意图
假设此IC所控制的PFC之额定输出电压为400V,当输出电压达到420V,开关立刻截止,输出电压的过冲会被限制在5%以下,输出过冲电压保护也採用同样的控制策略,当VSENSE下降到4.75V,也就是比额定电压低5%时,IC立刻响应,驱动闸的责任週期立即增加,电压变动的幅度被控制在40V以内。
■软启动功能
此IC具有软启动功能,因而可以控制启动电流,使其输入电流幅度连续而渐进地上升到较高的值,直到输出电压达到额定电压的80%,然后进入正常的控制模式。相对于一般的软启动系统而言,该系统只控制责任週期,以及让输入电流维持正弦波变化,在未达到额定电压的80%之前,不会限制峰值电流。因此,升压二极体不会受到因高责任週期而形成的大电流冲击。

(图十二) 软启动示意图

(图十三) 软启动的量测波形示意图
■保护功能
根据故障模式影响分析,IC中整合很多保护功能,例如开路保护、输出过压保护、交流电源欠压保护、IC电源欠压保护、峰值电流限幅和软过电流限幅等。下面将详细介绍开路保护和输出电压保护这两种保护功能。
开路保护(OLP)/输入欠压保护
开路意味着回授迴路被断开,没有回授信号进入IC。在这种情况下,如果没有保护措施,内部的控制电压将会被调节到最大值,IC将提高责任週期以传送最大功率。在这种故障情况下,输出电压往往取决于输出电流。在负载较小的情况下,将会产生很高的电压过冲,这将危及到后面的用电设备。该IC具有开路保护以对输出电压进行监控,如(图十四)所示。一旦VSENSE电压低于0.8V,也就是VOUT低于额定电压16%时,就意味着电压回授迴路进入了开路状态,或者输入电压小于额定值。在这种情况下,IC中绝大多数模块将停止工作。该保护功能是通过比较器C3实现的。一旦出现开路故障,MOSFET闸开关立即停止工作,输出电压没有过冲。该保护也可用于在某些情况下关闭PFC,例如待机模式等。

(图十四) 开路保护示意图
输出过压保护(OVP)
增强动态响应模块也具有输出过压保护功能。一旦VOUT超过额定电压5%,输出过压保护功能就被启动。通过判断VSENSE脚位的电压是否大于参考电压5.25V就可以实现该功能,VSENSE电压高于5.25V时,IC会跳过正常的电压迴路控制而直接控制责任週期,使责任週期立刻下降到0。这将导致输入功率下降,而使得输出电压VOUT下降。
■测试结果
用一个350W的测试板来检验其性能,测试电路如(图十五),开关频率设定为200kHz。在1/4满载的情况下,功率因数仍超过90%。另外,PFC转换器也可以在空载的情况下提供稳定的输出电压。

(图十五) 350W PFC电路图

(图十六) 量测结果
应用于CCM PFC的材料技术
节能电源IC厂商也推出适合在交换式电源供应器(SMPS)上PFC应用的硅碳化物(SiC)技术的第二代Schottky二极管,较先前产品增强其冲击(surge)电流,因此能处理较高的起动流入电流以及过电流。
硅碳化物是高压阻隔功率半导体的理想的材料,与其他萧特基(Schottky)二极管相比,能提供更高的Schottky位障以及高的崩溃电场,其热传导性与铜相当。而这些特性可提供低洩漏电流、低开启后之电阻,并改善散热。硅晶和砷化鎵Schottky二极管的阻隔电压约200至250 volts,而硅碳化物二极管的电压范围则可超过1000 volts。
CCM解决方案需要一个非常快速的二极管,但可以提供许多优点,例如大量减少最高峰值电流,因此可以使用比较小的被动式零组件、功率转换电路和较简单的EMI滤波器。
SiC Schottky二极管适合应用在CCM PFC,因为和其他Schottky二极管相比,可提供较高工作电压,而且不会出现硅晶二极管的逆向回復电流,因此可以减少MOSFET功率损失,所以可以搭配低成本的MOSFET。此外,由于其转换效能是独立于顺向电流、交换速度和温度等之外,新一代的SiC Schottky二极管,採用混合式的P/N-Schottky架构,将可改善电流负载和电压负载的特性。
结语
节能与绿色环保设计概念已逐渐被落实到人们的日常生活之中,半导体元件的技术与电源架构,将扮演举足轻重的角色。如何更有效率地充分使用地球有限的宝贵资源,端赖相关业界共同努力。
上一篇:H.264/AVC技术解析暨发展现况与挑战
下一篇:重装CPU、GPU时代下的机内散热设计(6)实现智能性热量管理的下一步

