- 易迪拓培训,专注于微波、射频、天线设计工程师的培养
GPS定位原理
每个接收机接收到的信号当然有区别了----你在北半球难道能接收到南半球卫星的信号?
那就是说卫星对每个接收机发射的信号不同了,如果这样那么多发生那卫星不累死
每颗卫星发射的信号都是独立的,以广播形式发送,所有接收机接收到同样的信号,只是接收到的时间不同,广播信号中包含时钟信息,接收机解调后根据接收到的时钟与同步时钟的时间差,计算出距离,根据空间中4个球面确定一点的方法,定位,当然现实中的GPS系统要复杂的多
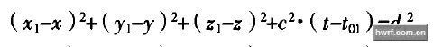
哦刚看到资料说是组成四个四元二次方程,
,这个C的平方与卫星和接收机时钟差的乘积怎么理解呀,觉得应该是前面那三项和的开根再加上C与时钟差的和等于后一项的开根吧。
你先把这几个字母代表的意思说明一下啊。
(Xn,Yn,Zn)是定位卫星的座标,(x,y,z)是要定位点的位置坐标,C是光速,t是接收机的时钟差,t01是卫星的时钟差,dn是卫星到定位点距离。不理解乘C那个什么意思。
t是接收机的时钟差?怎么理解,与谁的时钟差?
感觉要么公式有问题,要么定义有问题。
在某个地方看到的,所以也很不理解呀,求解释?
这篇文档不错,图文并茂,只是偶没看懂,希望楼主早日看懂帮偶科普一下
【文件名】:A-GPS - Assisted GPS, GNSS, and SBAS.part1.rar
点击下载...
【文件名】:A-GPS - Assisted GPS, GNSS, and SBAS.part2.rar
点击下载...
【文件名】:A-GPS - Assisted GPS, GNSS, and SBAS.part3.rar
点击下载...
楼上的,附件咋都下载不了呢
内部服务器错误,不知道怎么回事。
申明:网友回复良莠不齐,仅供参考。

