- 易迪拓培训,专注于微波、射频、天线设计工程师的培养
发射功率与传导杂散的关系是成正比吗?
录入:edatop.com 点击:
本人感觉功率越大,干扰也就越大
不是正比,应该说是正相关才对
我觉得首先是功率提高,在相同PA工作状态时,二次谐波也按系数增加。另外功率达到饱和,PA的工作状态也不一样了,也可能产生更多的杂散
2楼的见解一针见血啊!
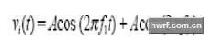
假设讯号如下 :
带入非线性模型 得出以下
可以看出Harmonics跟主频的振幅有关
主频Power降低当然有助于Harmonics的改善
所以记得要做高压补偿
因为测RSE时 会插USB 充电模式下去测
这时手机的电压 会一直维持在高压4.2V
有可能RSE会Fail
若做高压补偿 使高压的Power跟常压3.8V一样
那当然有助于RSE的改善
申明:网友回复良莠不齐,仅供参考。
上一篇:匹配器件可以放在任意的位置吗?
下一篇:WCDMA BAND2饱和功率问题

