- 易迪拓培训,专注于微波、射频、天线设计工程师的培养
VCTCXO和crystal的区别是什么,校准的方式分别是什.
录入:edatop.com 点击:
如題,請资深工程师指導。
我也期待中
XO 的震荡频率,很容易随着温度而有所漂移,
于是有人把 XO 加入电压控制与温度补偿的技术
使其震荡频率不管在任何温度
下,都能尽可能稳定 这就是 VCTCXO ( Voltage Controlled Temperature
Compensation XO)
但与 XO 相比, VCTCXO 也有一些缺点,
例如成本高,另外因为 VCTCXO 需要一组控制电压的讯号,
TRK_LO_ADJ ,且需额外的 RC 滤波器
这增加了成本与空间,在空间极为有限的手机产品中,
空间的缩减是一大考虑。
而 XO 不仅比 VCTCXO 便宜,在空间的缩减上,
也比 VCTCXO 省空间,
而耗电流也比 VCTCXO 小,且温度承载范围,
也比 VCTCXO 来的广。因此高通平台在 7系列,
采用的是 VCTCXO ,但到了 8 系列,几乎一律采用 XO
因此为了克服 XO 频率稳定度不高的缺失,其校正会比 VCTCXO 来的复杂
因为 XO 的震荡频率,会随温度改变,
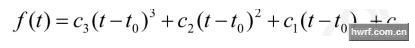
如果把 XO 在不同温度下的震荡频率飘移程度,用图形表示,
横轴为温度,纵轴为震荡频率飘移程度,即 FT曲线
( Frequency-Temperature Curve ) ,
每颗 XO 都有这样的曲线
不同的参数值,会有不同的 FT 曲线,所以 XO 的校正,
就是找出最佳曲线的参数,至于C0,
就是室温下( 25 度 30 度 ) ,所对应到的频率飘移。
这个我也知道哈哈
temp raletion
3楼说的xo就是crystal吗
申明:网友回复良莠不齐,仅供参考。

