- 易迪拓培训,专注于微波、射频、天线设计工程师的培养
谁有温控晶体振荡器的原理介绍?谢谢
想要,谁可以奉献一下?
(温敏电阻+crytal+varactor)+oscillator=>TCXO
因为XO很容易随着温度而有所漂移,
于是把XO加入电压控制与温度补偿的技术,
来提高频率稳定度,这就是VCTCXO ( Voltage Controlled Temperature Compensation XO)
但VCTCXO成本高,且需要一组控制电压的讯号,
TRK_LO_ADJ,以及额外的RC滤波器来滤除谐波,这增加了成本与空间
而XO不仅比VCTCXO便宜,也比VCTCXO省空间,
而耗电流也比VCTCXO小,且温度承载范围,
也比VCTCXO来的广。因此Qualcomm在7系列,
采用的是VCTCXO,但到了8系列,几乎一律采用XO
所以为了克服XO频率稳定度不高的缺失,其校正会比VCTCXO来的复杂
因为XO的震荡频率,会随温度改变,
如果把XO在不同温度下的震荡频率飘移程度,
用图形表示,横轴为温度,纵轴为震荡频率飘移程度,
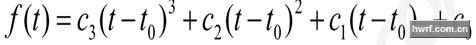
即FT 曲线 ( Frequency-Temperature Curve )
每颗XO都有这样的曲线,该曲线若用方程式表示,
不同的参数值,会有不同的FT曲线,
所以XO的校正,就是找出最佳曲线的参数,
至于C0 ,就是室温下 ( 25度30度),所对应到的频率飘移
另外,XO会有所谓的负载电容 ,影响震荡频率,
因此会有一组NV,
NV_XO_TRIM_VALUES_I (NV 4212),
就是用来调校负载电容的值,进而调校震荡频率
由图可看出,负载电容值改变,
其频率偏移也会跟着改变,因此负载电容值不宜过大或过小,否则都会有频率偏移的现象
其他详细原理可参照
在此就不再赘述
申明:网友回复良莠不齐,仅供参考。
上一篇:手机老掉话是什么原因?来看看
下一篇:新手:阻抗计算求助

