- 易迪拓培训,专注于微波、射频、天线设计工程师的培养
RF RX里的SAW Filter具体来说是什么作用
IMD3,和IMD2
不须混频之后才有
若LNA的IIP2, IIP3不够,
则LNA后
就会有IMD2或IMD3产生了
然而因为Mixer处理的讯号,是经过LNA放大后的讯号,
因此其线性度必须比LNA更大,否则即便LNA的线性度够,
但若Mixer的线性度不够,一样会有该现象
所以才如8楼所言
整个接收链路对总IIP2和IIP3的贡献一般主要由后级Mixer决定
细节可参照本版发表的
『WCDMA之零中频接收机原理剖析大全』
在此就不再赘述
赞Criterion
WCDMA之零中频接收机原理剖析大全,我看完了,总结得很好哦,不过有几个问题没懂:1,零中频这么容易受到干扰,干嘛还非得用他啊,2,balun的DC offset是这么抑制的啊?求解
宽带的通讯系统一般都用ZIF比较多,但是ZIF的话需要芯片设计用更多的DC相消处理机制,和自适应的算法校准来去除两阶和三阶非线性效应.这通常在接收机RF系统构架里面叫线性化处理
我的理解是线性化处理只是软件做的线性化补偿,并不是真正地DC OFFSET吧,那BALUN的作用是不是硬件的DC offset抑制呢?如果是的话,他又是这么抑制的呢?什么原理?
五楼的解释的很详细,厉害,赞一个!
"另外 因为DC offset也是非线性效应之一
若LNA的P1dB不够大 加上Tx Leakage在LNA输入端的讯号又很强
则会使LNA产生DC offset 而LNA与Mixer间的SAW
可以滤除因LNA非线性效应引起的DC offset"
这段没懂,谁能给解释一下。
为什么低噪放的1dB压缩点不够大+发射泄漏到低噪放的信号强
就会是低噪放产生DC offset?
为什么加声表就可以滤除DC offset?
谢谢!
P1dB越大表示你线性度越好
亦即在无非线性失真的情况下
能乘受的输入功率越大
若LNA的P1dB不够,
则会有非线性失真,因此Rx测项,有一项为Maximum input level,
便是在测Rx端的最大承受输入功率(且BER不得大于0.1%)
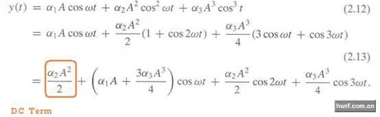
而由下式可知 若先将输入讯号以Single Tone来作分析带入Nonlinear Model


则会得出以下式子 可看到有一项是跟频率无关 也就是直流讯号DC

因此我们得知DC Offset也是非线性失真的产物之一
所以 若LNA P1dB不够大那么当输入讯号过大时
就会产生DC Offset
既然任何输入讯号过大都会使LNA产生DC offset
为啥要特地强调Tx Leakage在LNA的input level呢?

由上图知 当Tx = 21 dBmDuplexer的Isolation为45 dB时
则Tx Leakage在LNA的input level 会有 - 24 dBm
这个 -24 dBm
比Noise与 Rx 讯号 都还要大得多
所以才要特别强调
另外 因为SAW会砍Out-of-band的Noise
DC Offset 当然也算Out-of-band
所以基本上SAW有抑制DC Offset的功效


LNA之前已经有Duplexer了
而Duplexer 基本上也是由SAW构成的

所以可以避免DC Offset流入LNA
而LNA本身的非线性效应 所导致的DC offset 就靠那颗外挂的SAW来滤除了
申明:网友回复良莠不齐,仅供参考。

