- 易迪拓培训,专注于微波、射频、天线设计工程师的培养
2G接收灵敏度最高=-110的相关概念
谁说的最高只能-110
我不太懂,在用CMU200的时候,|TCH level BER|+|RX level|=110,这个是什么原因?
http://wenku.baidu.com/link?url=WrN_P7nX0AcHN1x_koux0JdNqfgHSDNOwhorD-ByjbjTTe3xPm2F0u2rpjQzQdpu_Db3z0xzcVtjn2xSLzCyTrZ210aQ_Fr1j7tH5u5OiNK不清楚有没有关系
这只是rxlevel的定义而已
灵敏度与什么有关,带宽、解调门限、系统噪声系数这些,带进去可以算下,灵敏度是多少。比如有的系统噪声系数做的比较好、芯片的解调门限也做的比较好,灵敏度也可以更高;只是目前的这种设计或芯片水平一般做到110左右而已
ETSI Spec确实有对Rx Level做出定义
它认定你灵敏度
最大就是只能到 -48 dBm
最小就是只能到-110 dBm
而Rx Level算是TCH level BER的另一个表示方法
其推算表格如下
因此
就算你今天灵敏度可以比-48 dBm大Rx Level只会秀63
就算你今天灵敏度可以比-110 dBm小Rx Level只会秀0
但现今的平台 确实可以做到-110 dBm以下
这牵扯到Receiver的性能
我们重新省视灵敏度公式好了
所谓灵敏度,指的是在SNR能接受的情况下,其接收机能接收到的最小讯号,其公式如下 :
第一项是Thermal Noise , 跟你手机温度有关 ,
第三项是带宽 , GSM都固定200 KHz ,
以上两点都跟Receiver性能无关, 在此就不提了
先谈SNR ,指的是接收机接收解调后,基带信号中有用信号功率与噪声功率的比值,如下图:

而SNRmin指的是DSP中在BER不超过2.44%情况下
所能解调出的最低SNR门坎
所以我们知道两件事
如果整体接收机的Noise Floor能压低
或是DSP的能力够强 即便SNR再小 也能成功解调
那么灵敏度就能有效提升
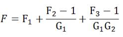
再谈NF
接收机整体的Noise Figure,公式如下 :

由上式可知,从天线到LNA,包含ASM、SAW Filter、以及接收路径走线,
这三者的Loss总和,对于接收机整体的Noise Figure,有最大影响,如下图 :
我们可以看到F1对于整体NF , 是呈现线性曲线
若这边的Loss多1 dB,则接收机整体的Noise Figure,就是直接增加1 dB,
而LNA输入端的Loss,除了Insertion Loss,也包含了Mismatch Loss,
因此之所以做接收路径的匹配,主要也是为了降低Mismatch Loss,
以便进一步降低Noise Figure,达到提升灵敏度之效。
当然你也看到倘若LNA的Gain越高 可以把整体Noise Figure压下来
但是以整体Rx架构来看
你LNA的Gain越高意味着灌入Mixer及后端电路的能量就越强
若Mixer及后端电路的线性度不够 就会饱和Noise Floor上升
SNR下降 那么灵敏度还是不会好况且Gain越高耗电流就越大
所以Gain不是越高越好
还要衡量你后端电路的线性度
而LNA本身的Noise Figure 对于整体Noise Figure 也是有影响
这表示若LNA自身的Noise Figure若能降低对于灵敏度的提升
一样有帮助
虽然在要求线性度的情况下,其Gain不宜过大,
然而不代表Gain较小时,其灵敏度就一定变差,
以高通的RTR6285A与WTR1605L为例,
我们发现WTR1605L的Gain比较低,但其Noise Figure并未比较高,如下图 :
而量测结果也显示,Gain较低的WTR1605L,其灵敏度比Gain较高的RTR6285A更好,
这表示若LNA本身的Noise Figure能降低,
即使Gain较小,其Noise Figure一样能压低,进而拥有较佳的灵敏度, 如下图 :
当然由上图也知 , 早期的平台 可能-110 dBm已经是极限
不管你PCB走线走得再好都一样
而现今的平台 , 其传导的灵敏度, 几乎都可以作到-110 dBm以下了
这改善主要还是来自于接收机性能的提升
感谢,辛苦了!
申明:网友回复良莠不齐,仅供参考。

