- 易迪拓培训,专注于微波、射频、天线设计工程师的培养
CST2013: Farfield&Antenna / Diversity Gain and Correlation (from Fa
Post Processing: Result Templates
Template Based Post Processing
This template alternatively calculates the Mean Effective Gain (MEG) of an antenna or the correlation, diversity gain and multiplexing efficiency of two antennas in a MIMO antenna system (using antenna diversity).
Note: a broadband version of most functionality is included in Farfield&Antenna / Farfield Result
Mean Effective Gain:
This model assumes that an isotropic power distribution over all angles is an unlikely model for ground based mobile communication. Instead a Gaussian distribution over the elevation angle is assumed. The Gaussian distribution can be described independently for the vertical and the horizontal component:

The cross polarization ratio (XPR) between vertical and the horizontal component is defined as follows:

Reference: T. Taga, “Analysis for mean effective gain of mobile antennas inland mobile radio environments”, IEEE Trans. Veh. Technol., vol.39, no.2, pp.117–131, May 1990.
MIMO Antennas and Antenna Diversity:
Antenna Diversity describes the case that more than one antenna is implemented in a device. To specify the benefit of multiple antennas, the correlation of two antennas or the diversity gain are evaluated. In this template both values are calculated from the Farfield Pattern according to the formulas:
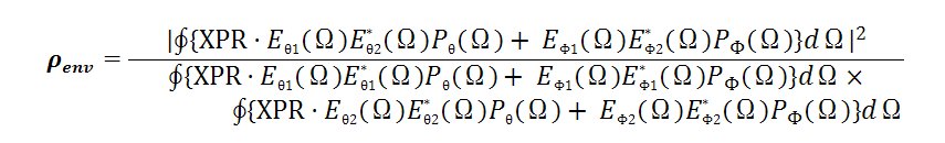
Envelope Correlation:

P_θ (Ω) and P_Φ (Ω) describe the Gaussian distributions as shown above.
In case of isotropic power distribution (P_θ (Ω)=P_Φ (Ω)=1), no cross polarization ratio (XPR = 0dB) and a lossless structure, the correlation ρ_env equals the correlation calculated from S-Parameters (Farfield&Antenna / Diversity Gain and Correlation (from S-Parameters))
Diversity Gain:

Multiplexing Efficiency:
The multiplexing efficiency ME is defined from the envelope correlation and the gain of the two antennas G_1and G_2 (in dB) according to the formula

CST微波工作室培训课程套装,专家讲解,视频教学,帮助您快速学习掌握CST设计应用
上一篇:CST2013: Functions for Curve and Face Creation
下一篇:CST2013: Ribbon
最全面、最专业的CST微波工作室视频培训课程,可以帮助您从零开始,全面系统学习CST的设计应用【More..】
频道总排行
- CST2013: Mesh Problem Handling
- CST2013: Field Source Overview
- CST2013: Discrete Port Overview
- CST2013: Sources and Boundary C
- CST2013: Multipin Port Overview
- CST2013: Farfield Overview
- CST2013: Waveguide Port
- CST2013: Frequency Domain Solver
- CST2013: Import ODB++ Files
- CST2013: Settings for Floquet B
