首页 > 在线工具 > 射频工具 > 三角形线圈电感值计算工具

三角形线圈电感值计算工具

录入:edatop.com     点击:
   
Choose units for a, b and c
meter cm inch
Parameters Input
N turns
b
c
a
μr
nH


/media/research/emclab/images/is-trial.gif
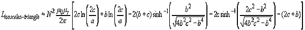
  • N: number of turns
  • c: length of the equal sides
  • b: length of the base
  • a: wire radius
  • μr: relative permeability of the medium
/media/research/emclab/images/fis-trial.gif

热词搜索:三角形 线圈电感 计算工具

上一篇:等边三角形线圈电感值计算工具
下一篇:最后一页

易迪拓培训课程列表详情>>

我们是来自于研发一线的资深工程师,专注并致力于射频、微波和天线设计工程师的培养

  网站地图