首页 > 在线工具 > 射频工具 > 矩形线圈电感计算工具

矩形线圈电感计算工具

录入:edatop.com     点击:
   
Choose units for a , h and w
meter cm inch
Parameters Input
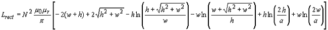
N turns
w
h
a
μr
nH


/media/research/emclab/images/rect.gif
  • N: number of turns
  • w: width of the rectangle
  • h: height of the rectangle
  • a: wire radius
  • μr: relative permeability of the medium
/media/research/emclab/images/frect.gif

热词搜索:矩形线圈 线圈电感 电感计算

上一篇:正方形线圈电感计算工具
下一篇:圆形线圈电感值计算工具

易迪拓培训课程列表详情>>

我们是来自于研发一线的资深工程师,专注并致力于射频、微波和天线设计工程师的培养

  网站地图