- 易迪拓培训,专注于微波、射频、天线设计工程师的培养
CST2013: General 1D / 0D or 1D Result from 1D Result (Rescale, Derivation, etc)
Post Processing: Result Templates
Template Based Post Processing
This template is able to calculate a 0D Result (= one value) or a new 1D/1DC Result based on the original one. The template can perform simple operations like finding the maximum or integral value of a curve, but its application can range to quite advanced operations, for example applying non-linear scale functions to x and/or y-axis. Most functions are able to be applied on subranges of the given total x-range. As input results all availble primiray results under 1D results as well as previously defined 1D / 1DC template results are offered.
Available 0D Actions
Most 0D actions should be pretty self-explaining, once you know, that the horizontal axis / abscissa is named x and the vertical axis / ordinate is y. Therefore only a few additional comments are added here:
Mean/Deviation versus Mean/Deviation (Stochastic): While the standard version calculates the mean value by integrating the curve along x-axis and then dividing by (xmax-xmin), the stochastic version just returns the mean value of the Result1D object's y-values (without considering/integrating their x-location).
Action "Get Number of Samples" delivers the number of data points, stored in the input 1D signal.
Available 1D/1DC Actions
Action | Parameter | Description |
Axis - scale with function f(x,y) | scale function f(x,y) | Allows you to enter a userdefined analytical function for rescaling. This function will be evaluated in the range of the chosen input signal. Function can be applied to either x- or y-axis. |
Axis - scale to new range | New Minimum, New Maximum | Scales the x- or y-axis such that the minimum and the maximum fits into the given range. |
Axis - Exchange x and y axes | none | Exchanges the x and the y-axis. |
y - scale or shift maximum | max to 0dB / max to 1 | Scales the plot such that the maximum will be 0dB or 1 respectively. |
x - extract data in sub range | xlow, xhigh | Extracts the input within the range given by xlow and xhigh. |
x - resample | # of Samples | resamples the whole x-range in an equidistant way |
x -Upsample or Downsample | # of Samples
| This option is similar to the ”x-Resample” option but it minimizes interpolation errors for equidistantly-sampled signals. When upsampling such signals, this option keeps all original samples and adds additional, linearly interpolated samples in between. This avoids, for example, cutting off peaks in the original function. When downsampling equidistantly-sampled signals, the template removes every nth sample, where n is a number that brings the number of samples after downsampling close to the number of requested samples. Please note that for this option, the resulting number of samples is usually different from the number of requested samples. It will always be larger or equal to the number of requested samples, whereas for the regular resampling option, the resulting number of samples will be identical to the number of requested samples. Although the ’r;Upsampling/Downsampling’ can be applied to inputs with non-equidistant sampling, it usually does not provide any benefits for such inputs, compared to the regular resampling. The output of ’r;Upsampling/Downsampling’ and ’r;x-Resample’ will always be sampled equidistantly. |
Derivative | none | Calculates the numerical derivative |
Integral | Integral kernel function | Calculates the numerical integral from with the boundaries xlow and x. Via integral kernel function, the original function can be adapted before integration step. |
Time Window | Smoothness [0,100] | Applies a squared cosine windowing function to the input. The user should set the smoothness to a value from 0 to 100 to specify when the cosine shape starts. At a value of 0 the cosine window is identical to a rectangular window. |
Apply Low Pass to TD/FD | Fmax | Applies a low pass filter with cutoff frequency Fmax to the original plot. There are two versions available, one simple (ideal) low pass to be applied on Frequncy Spectra, and a more sophisticated Butterworth filter, to be applied on time signals. |
MC_DF (Monte Carlo Distribution Function) | none | Normalizes all x values with respect to "100*number of x values". Sorts all y values in ascending order. Then plots the normalized x over the sorted y values. |
CDF (Cumulative Distribution Function) | none | Plots the cumulative distribution function. |
Merge Plots | none | This option concatenates the data of the two selected plots. It is useful to add statistical data, or to stitch together two plots. The plot containing the lower x values should be selected first. This option does not perform any sorting after the concatenation and it will allow multiple y values for the same x value. |
Linear Regression (first to last point) | none | Plots a straight line from the first to the last point of the original plot. |
Parametric X-Y Plot | none | Takes two plots A(x) and B(x) and combines them into B(A). This can be used to create phase space plots such as Lissajous or eye patterns. |
Add Noise | Max noise amplitude Noise Type: Uniform / 1/x | Adds noise to the signal. The noise values are equally distributed around the +- max noise amplitude and will be added per Sample. Along the x-axis the user has the choice between uniform and 1/x decreasing noise level. |
Local Averaging | N-Neighbours, Periodic | Applies a local averging in order to achieve a smoother plot. The averaging is done based on N-neighboured datapoints to EACH side. |
Cross-Correlation | none | Calculates the Cross Correlation of two signals. In signal processing, cross-correlation is a measure of similarity of two waveforms as a function of a time-lag applied to one of them. This is also known as a sliding dot product or inner-product. For signals in which the amplitude can vary, the Cross Correlation can first be normed. In this case, the Cross Correlation of two signals with identical shape will lead to a maximum correlation of 1. The position of the maximum is then the time shift between the two signal. For numerical details please refer to: VBA-function CalculateCROSSCOR. |
Cross-Correlation (normed) | none | In UWB applications, the Cross Correlation (normed) allows the user to compare the incident signal at the port (port signal) with the radiated signal (farfield probe). The position of the maximum is the runtime of the signal from port to probe. |
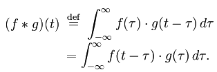
Convolution | none | Calculates the Convolution of two signals. The convolution of and is written . It is defined as the integral of the product of the two functions after one is reversed and shifted.
In electrical engineering, the convolution of one function (the input) with a brief but strong impulse (see impulse response) gives the output of a linear time-invariant system. At any given moment, the output is an accumulated effect of all the prior values of the input function, with the most recent values typically having the most influence (expressed as a multiplicative factor). The impulse response function provides that factor as a function of the elapsed time since each input value occurred. |
Example:
For a lossfree 1-port resonator the Q-value should be calculated from the Group Delay Time. The analytical formula is given by ( Q = t_group * 2pi frq / 4 ). In a first step the template 1D / Group Delay Time has to be defined. In a second step the template "1D Result from 1D Result" can be applied: in this case y=GroupDelayTime and x=Frq, therefore the formula to be entered under action "y - scale function f(x,y) " is y * 2*Pi*x/4 or simply y * Pi*x/2 .
CST微波工作室培训课程套装,专家讲解,视频教学,帮助您快速学习掌握CST设计应用
上一篇:CST2013: 1D / S-Parameter
下一篇:CST2013: Construct / Multiple Discrete Ports
最全面、最专业的CST微波工作室视频培训课程,可以帮助您从零开始,全面系统学习CST的设计应用【More..】
频道总排行
- CST2013: Mesh Problem Handling
- CST2013: Field Source Overview
- CST2013: Discrete Port Overview
- CST2013: Sources and Boundary C
- CST2013: Multipin Port Overview
- CST2013: Farfield Overview
- CST2013: Waveguide Port
- CST2013: Frequency Domain Solver
- CST2013: Import ODB++ Files
- CST2013: Settings for Floquet B

