- 易迪拓培训,专注于微波、射频、天线设计工程师的培养
HFSS15: Max U
录入:edatop.com 点击:
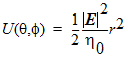
The radiation intensity, U, is the power radiated from an antenna per unit solid angle. HFSS calculates the radiation intensity in the direction in which it has the maximum value. The maximum intensity of the radiation is measured in watts per steradian and is calculated by
| ![]()
| (1) |
where
U (q,f) is the radiation intensity in watts per steradian.
|E
| is the magnitude of the E-field.
h0 is the intrinsic impedance of free space — 376.7 ohms.
r
is the distance from the antenna, in meters.
HFSS 学习培训课程套装,专家讲解,视频教学,帮助您全面系统地学习掌握HFSS
上一篇:Mirroring Objects
下一篇:Mode Alignment



