- 易迪拓培训,专注于微波、射频、天线设计工程师的培养
HFSS15: Expressions for Permittivity and Conductivity
录入:edatop.com 点击:
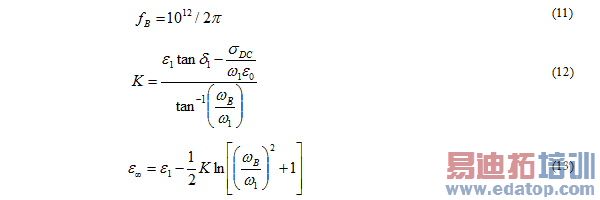
The final expressions are as follows:
Relative Permittivity:

Conductivity:



HFSS 学习培训课程套装,专家讲解,视频教学,帮助您全面系统地学习掌握HFSS
上一篇:Expand or Collapse Groupings in the History Tree
下一篇:Exporting Files


